An Overview of Cryptography

Gary C. Kessler
May 1998
(26 September 2005)


A much shorter, edited version of this paper appears in the 1999 Edition of Handbook on Local Area Networks, published by Auerbach in September 1998. Since that time, this article has taken on a life of its own...


CONTENTS

 

FIGURES

  1. Three types of cryptography: secret-key, public key, and hash function.
  2. Sample application of the three cryptographic techniques for secure communication.
  3. Kerberos architecture.
  4. GTE Cybertrust Global Root-issued certificate (Netscape Navigator).
  5. Sample entries in Unix/Linux password files.
  6. DES enciphering algorithm.
  7. A PGP signed message.
  8. A PGP encrypted message.
  9. The decrypted message.
  10. IPsec Authentication Header format.
  11. IPsec Encapsulating Security Payload format.
  12. IPsec tunnel and transport modes for AH.
  13. IPsec tunnel and transport modes for ESP.
  14. SSL v3 configuration screen (Netscape Navigator).
  15. SSL/TLS protocol handshake.
  16. Elliptic curve addition.
  17. AES pseudocode.

TABLES

  1. Minimum Key Lengths for Symmetric Ciphers.
  2. Contents of an X.509 V3 Certificate.
  3. Other Crypto Algorithms and Systems of Note.
  4. ECC and RSA Key Comparison.


1. INTRODUCTION

Does increased security provide comfort to paranoid people? Or does security provide some very basic protections that we are naive to believe that we don't need? During this time when the Internet provides essential communication between tens of millions of people and is being increasingly used as a tool for commerce, security becomes a tremendously important issue to deal with.

There are many aspects to security and many applications, ranging from secure commerce and payments to private communications and protecting passwords. One essential aspect for secure communications is that of cryptography, which is the focus of this chapter. But it is important to note that while cryptography is necessary for secure communications, it is not by itself sufficient. The reader is advised, then, that the topics covered in this chapter only describe the first of many steps necessary for better security in any number of situations.

This paper has two major purposes. The first is to define some of the terms and concepts behind basic cryptographic methods, and to offer a way to compare the myriad cryptographic schemes in use today. The second is to provide some real examples of cryptography in use today.

I would like to say at the outset that this paper is very focused on terms, concepts, and schemes in current use and is not a treatise of the whole field. No mention is made here about pre-computerized crypto schemes, the difference between a substitution and transposition cipher, cryptanalysis, or other history. Interested readers should check out some of the books in the bibliography below for this detailed — and interesting! — background information.


2. THE PURPOSE OF CRYPTOGRAPHY

Cryptography is the science of writing in secret code and is an ancient art; the first documented use of cryptography in writing dates back to circa 1900 B.C. when an Egyptian scribe used non-standard hieroglyphs in an inscription. Some experts argue that cryptography appeared spontaneously sometime after writing was invented, with applications ranging from diplomatic missives to war-time battle plans. It is no surprise, then, that new forms of cryptography came soon after the widespread development of computer communications. In data and telecommunications, cryptography is necessary when communicating over any untrusted medium, which includes just about any network, particularly the Internet.

Within the context of any application-to-application communication, there are some specific security requirements, including:

Cryptography, then, not only protects data from theft or alteration, but can also be used for user authentication. There are, in general, three types of cryptographic schemes typically used to accomplish these goals: secret key (or symmetric) cryptography, public-key (or asymmetric) cryptography, and hash functions, each of which is described below. In all cases, the initial unencrypted data is referred to as plaintext. It is encrypted into ciphertext, which will in turn (usually) be decrypted into usable plaintext.

In many of the descriptions below, two communicating parties will be referred to as Alice and Bob; this is the common nomenclature in the crypto field and literature to make it easier to identify the communicating parties. If there is a third or fourth party to the communication, they will be referred to as Carol and Dave. Mallory is a malicious party, Eve is an eavesdropper, and Trent is a trusted third party.


3. TYPES OF CRYPTOGRAPHIC ALGORITHMS

There are several ways of classifying cryptographic algorithms. For purposes of this paper, they will be categorized based on the number of keys that are employed for encryption and decryption, and further defined by their application and use. The three types of algorithms that will be discussed are (Figure 1):




FIGURE 1: Three types of cryptography: secret-key, public key, and hash function.



3.1. Secret Key Cryptography

With secret key cryptography, a single key is used for both encryption and decryption. As shown in Figure 1A, the sender uses the key (or some set of rules) to encrypt the plaintext and sends the ciphertext to the receiver. The receiver applies the same key (or ruleset) to decrypt the message and recover the plaintext. Because a single key is used for both functions, secret key cryptography is also called symmetric encryption.

With this form of cryptography, it is obvious that the key must be known to both the sender and the receiver; that, in fact, is the secret. The biggest difficulty with this approach, of course, is the distribution of the key.

Secret key cryptography schemes are generally categorized as being either stream ciphers or block ciphers. Stream ciphers operate on a single bit (byte or computer word) at a time and implement some form of feedback mechanism so that the key is constantly changing. A block cipher is so-called because the scheme encrypts one block of data at a time using the same key on each block. In general, the same plaintext block will always encrypt to the same ciphertext when using the same key in a block cipher whereas the same plaintext will encrypt to different ciphertext in a stream cipher.

Stream ciphers come in several flavors but two are worth mentioning here. Self-synchronizing stream ciphers calculate each bit in the keystream as a function of the previous n bits in the keystream. It is termed "self-synchronizing" because the decryption process can stay synchronized with the encryption process merely by knowing how far into the n-bit keystream it is. One problem is error propagation; a garbled bit in transmission will result in n garbled bits at the receiving side. Synchronous stream ciphers generate the keystream in a fashion independent of the message stream but by using the same keystream generation function at sender and receiver. While stream ciphers do not propagate transmission errors, they are, by their nature, periodic so that the keystream will eventually repeat.

Block ciphers can operate in one of several modes; the following four are the most important:

Secret key cryptography algorithms that are in use today include:

3.2. Public-Key Cryptography

Public-key cryptography has been said to be the most significant new development in cryptography in the last 300-400 years. Modern PKC was first described publicly by Stanford University professor Martin Hellman and graduate student Whitfield Diffie in 1976. Their paper described a two-key crypto system in which two parties could engage in a secure communication over a non-secure communications channel without having to share a secret key.

PKC depends upon the existence of so-called one-way functions, or mathematical functions that are easy to computer whereas their inverse function is relatively difficult to compute. Let me give you two simple examples:

  1. Multiplication vs. factorization: Suppose I tell you that I have two numbers, 9 and 16, and that I want to calculate the product; it should take almost no time to calculate the product, 144. Suppose instead that I tell you that I have a number, 144, and I need you tell me which pair of integers I multiplied together to obtain that number. You will eventually come up with the solution but whereas calculating the product took milliseconds, factoring will take longer because you first need to find the 8 pair of integer factors and then determine which one is the correct pair.
  2. Exponentiation vs. logarithms: Suppose I tell you that I want to take the number 3 to the 6th power; again, it is easy to calculate 36=729. But if I tell you that I have the number 729 and want you to tell me the two integers that I used, x and y so that logx 729 = y, it will take you longer to find all possible solutions and select the pair that I used.

While the examples above are trivial, they do represent two of the functional pairs that are used with PKC; namely, the ease of multiplication and exponentiation versus the relative difficulty of factoring and calculating logarithms, respectively. The mathematical "trick" in PKC is to find a trap door in the one-way function so that the inverse calculation becomes easy given knowledge of some item of information.

Generic PKC employs two keys that are mathematically related although knowledge of one key does not allow someone to easily determine the other key. One key is used to encrypt the plaintext and the other key is used to decrypt the ciphertext. The important point here is that it does not matter which key is applied first, but that both keys are required for the process to work (Figure 1B). Because a pair of keys are required, this approach is also called asymmetric cryptography.

In PKC, one of the keys is designated the public key and may be advertised as widely as the owner wants. The other key is designated the private key and is never revealed to another party. It is straight forward to send messages under this scheme. Suppose Alice wants to send Bob a message. Alice encrypts some information using Bob's public key; Bob decrypts the ciphertext using his private key. This method could be also used to prove who sent a message; Alice, for example, could encrypt some plaintext with her private key; when Bob decrypts using Alice's public key, he knows that Alice sent the message and Alice cannot deny having sent the message (non-repudiation).

Public-key cryptography algorithms that are in use today for key exchange or digital signatures include:

For additional information on PKC algorithms, see "Public-Key Encryption", Chapter 8 in Handbook of Applied Cryptography, by A. Menezes, P. van Oorschot, and S. Vanstone (CRC Press, 1996).


A digression: Who invented PKC? I tried to be careful in the first paragraph of this section to state that Diffie and Hellman "first described publicly" a PKC scheme. Although I have categorized PKC as a two-key system, that has been merely for convenience; the real criteria for a PKC scheme is that it allows two parties to exchange a secret even though the communication with the shared secret might be overheard. There seems to be no question that Diffie and Hellman were first to publish; their method is described in the classic paper, "New Directions in Cryptography," published in the November 1976 issue of IEEE Transactions on Information Theory. As shown below, Diffie-Hellman uses the idea that finding logarithms is relatively harder than exponentiation. And, indeed, it is the precursor to modern PKC which does employ two keys. Rivest, Shamir, and Adleman described an implementation that extended this idea in their paper "A Method for Obtaining Digital Signatures and Public-Key Cryptosystems," published in the February 1978 issue of the Communications of the ACM (CACM). Their method, of course, is based upon the relative ease of finding the product of two large prime numbers compared to finding the prime factors of a large number.

Some sources, though, credit Ralph Merkle with first describing a system that allows two parties to share a secret although it was not a two-key system, per se. A Merkle Puzzle works where Alice creates a large number of encrypted keys, sends them all to Bob so that Bob chooses one at random and then lets Alice know which he has selected. An eavesdropper will see all of the keys but can't learn which key Bob has selected (because he has encrypted the response with the chosen key). In this case, Eve's effort to break in is the square of the effort of Bob to choose a key. While this difference may be small it is often sufficient. Merkle apparently took a computer science course at UC Berkeley in 1974 and described his method, but had difficulty making people understand it; frustrated, he dropped the course. Meanwhile, he submitted the paper "Secure Communication Over Insecure Channels" which was published in the CACM in April 1978; Rivest et al.'s paper even makes reference to it. Merkle's method certainly wasn't published first, but did he have the idea first?

An interesting question, maybe, but who really knows? For some time, it was a quiet secret that a team at the UK's Government Communications Headquarters (GCHQ) had first developed PKC in the early 1970s. Because of the nature of the work, GCHQ kept the original memos classified. In 1997, however, the GCHQ changed their posture when they realized that there was nothing to gain by continued silence. Documents show that a GCHQ mathematician named James Ellis started research into the key distribution problem in 1969 and that by 1975, Ellis, Clifford Cocks, and Malcolm Williamson had worked out all of the fundamental details of PKC, yet couldn't talk about their work. (They were, of course, barred from challenging the RSA patent!) After more than 20 years, Ellis, Cocks, and Williamson have begun to get their due credit.

And the National Security Agency (NSA) claims to have knowledge of this type of algorithm as early as 1966 but there is no supporting documentation... yet. So this really was a digression...


3.3. Hash Functions

Hash functions, also called message digests and one-way encryption, are algorithms that, in some sense, use no key (Figure 1C). Instead, a fixed-length hash value is computed based upon the plaintext that makes it impossible for either the contents or length of the plaintext to be recovered. Hash algorithms are typically used to provide a digital fingerprint of a file's contents, often used to ensure that the file has not been altered by an intruder or virus. Hash functions are also commonly employed by many operating systems to encrypt passwords. Hash functions, then, help preserve the integrity of a file.

Hash functions are sometimes misunderstood and some sources claim that no two files can have the same hash value. This isn't true, strictly speaking. Consider a hash function that provides a 128-bit hash value. There are, obviously, 2128 possible hash values. But there are a lot more than 2128 possible files. Therefore, there have to be multiple files — in fact, there have to be an infinite number of files! — that can have the same 128-bit hash value. The difficulty is finding two files with the same hash! What is, indeed, very hard to do is to try to create a file that has a given hash value so as to force a hash value collision.

Hash algorithms that are in common use today include:

For additional information, see David Hopwood's MessageDigest Algorithms page.

3.4. Why Three Encryption Techniques?

So, why are there so many different types of cryptographic schemes? Why can't we do everything we need with just one?

The answer is that each scheme is optimized for some specific application(s). Hash functions, for example, are well-suited for ensuring data integrity because any change made to the contents of a message will result in the receiver calculating a different hash value than the one placed in the transmission by the sender. Since it is highly unlikely that two different messages will yield the same hash value, data integrity is ensured to a high degree of confidence.

Secret key cryptography, on the other hand, is ideally suited to encrypting messages. The sender can generate a session key on a per-message basis to encrypt the message; the receiver, of course, needs the same session key to decrypt the message.

Key exchange, of course, is a key application of public-key cryptography (no pun intended). Asymmetric schemes can also be used for non-repudiation; if the receiver can obtain the session key encrypted with the sender's private key, then only this sender could have sent the message. Public-key cryptography could, theoretically, also be used to encrypt messages although this is rarely done because secret-key cryptography operates about 1000 times faster than public-key cryptography.




FIGURE 2: Sample application of the three cryptographic techniques for secure communication.


Figure 2 puts all of this together and shows how a hybrid cryptographic scheme combines all of these functions to form a secure transmission comprising digital signature and digital envelope. In this example, the sender of the message is Alice and the receiver is Bob.

A digital envelope comprises an encrypted message and an encrypted session key. Alice uses secret key cryptography to encrypt her message using the session key, which she generates at random with each session. Alice then encrypts the session key using Bob's public key. The encrypted message and encrypted session key together form the digital envelope. Upon receipt, Bob recovers the session secret key using his private key and then decrypts the encrypted message.

The digital signature is formed in two steps. First, Alice computes the hash value of her message; next, she encrypts the hash value with her private key. Upon receipt of the digital signature, Bob recovers the hash value calculated by Alice by decrypting the digital signature with Alice's public key. Bob can then apply the hash function to Alice's original message, which he has already decrypted (see previous paragraph). If the resultant hash value is not the same as the value supplied by Alice, then Bob knows that the message has been altered; if the hash values are the same, Bob should believe that the message he received is identical to the one that Alice sent.

This scheme also provides nonrepudiation since it proves that Alice sent the message; if the hash value recovered by Bob using Alice's public key proves that the message has not been altered, then only Alice could have created the digital signature. Bob also has proof that he is the intended receiver; if he can correctly decrypt the message, then he must have correctly decrypted the session key meaning that his is the correct private key.

3.5. The Significance of Key Length

In a recent article in the industry literature (circa 9/98), a writer made the claim that 56-bit keys do not provide as sufficient protection for DES today as they did in 1975 because computers are 1000 times faster today than in 1975. Therefore, the writer went on, we should be using 56,000-bit keys today instead of 56-bit keys to provide adequate protection. The conclusion was then drawn that because 56,000-bit keys are infeasible (true), we should accept the fact that we have to live with weak cryptography (false!). The major error here is that the writer did not take into account that the number of possible key values double whenever a single bit is added to the key length; thus, a 57-bit key has twice as many values as a 56-bit key (because 257 is two times 256). In fact, a 66-bit key would have 1024 times the possible values as a 56-bit key.

But this does bring up the issue, what is the precise significance of key length as it affects the level of protection?

In cryptography, size does matter. The larger the key, the harder it is to crack a block of encrypted data. The reason that large keys offer more protection is almost obvious; computers have made it easier to attack ciphertext by using brute force methods rather than by attacking the mathematics (which are generally well-known anyway). With a brute force attack, the attacker merely generates every possible key and applies it to the ciphertext. Any resulting plaintext that makes sense offers a candidate for a legitimate key. This was the basis, of course, of the EFF's attack on DES.

Until the mid-1990s or so, brute force attacks were beyond the capabilities of computers that were within the budget of the attacker community. Today, however, significant compute power is commonly available and accessible. General purpose computers such as PCs are already being used for brute force attacks. For serious attackers with money to spend, such as some large companies or governments, Field Programmable Gate Array (FPGA) or Application-Specific Integrated Circuits (ASIC) technology offers the ability to build specialized chips that can provide even faster and cheaper solutions than a PC. Consider that an AT&T ORCA chip (FPGA) costs $200 and can test 30 million DES keys per second, while a $10 ASIC chip can test 200 million DES keys per second (compared to a PC which might be able to test 40,000 keys per second).

The table below shows what DES key sizes are needed to protect data from attackers with different time and financial resources. This information is not merely academic; one of the basic tenets of any security system is to have an idea of what you are protecting and from who are you protecting it! The table clearly shows that a 40-bit key is essentially worthless today against even the most unsophisticated attacker. On the other hand, 56-bit keys are fairly strong unless you might be subject to some pretty serious corporate or government espionage. But note that even 56-bit keys are declining in their value and that the times in the table (1995 data) are worst cases.

TABLE 1. Minimum Key Lengths for Symmetric Ciphers.
Type of Attacker Budget Tool Time and Cost
Per Key Recovered
Key Length Needed
For Protection
In Late-1995
40 bits 56 bits
Pedestrian Hacker Tiny Scavanged
computer
time
1 week Infeasible 45
$400 FPGA 5 hours
($0.08)
38 years
($5,000)
50
Small Business $10,000 FPGA 12 minutes
($0.08)
18 months
($5,000)
55
Corporate Department $300K FPGA 24 seconds
($0.08)
19 days
($5,000)
60
ASIC 0.18 seconds
($0.001)
3 hours
($38)
Big Company $10M FPGA 7 seconds
($0.08)
13 hours
($5,000)
70
ASIC 0.005 seconds
($0.001)
6 minutes
($38)
Intelligence Agency $300M ASIC 0.0002 seconds
($0.001)
12 seconds
($38)
75


So, how big is big enough? DES, invented in 1975, is still in use today, nearly 25 years later. If we take that to be a design criteria (i.e., a 20-plus year lifetime) and we believe Moore's Law ("computing power doubles every 18 months"), then a key size extension of 14 bits (i.e., a factor of more than 16,000) should be adequate. The 1975 DES proposal suggested 56-bit keys; by 1995, a 70-bit key would have been required to offer equal protection and an 85-bit key will be necessary by 2015.

The discussion above suggests that a 128- or 256-bit key for SKC will suffice for some time because that key length keeps us ahead of the brute force capabilities of the attackers. While a large key is good, a huge key may not always be better. That is, many public-key cryptosystems use 1024- or 2048-bit keys; expanding the key to 4096 bits probably doesn't add any protection at this time but it does add significantly to processing time.

The most effective large-number factoring methods today use a mathematical Number Field Sieve to find a certain number of relationships and then uses a matrix operation to solve a linear equation to produce the two prime factors. The sieve step actually involves a large number of operations of operations that can be performed in parallel; solving the linear equation, however, requires a supercomputer. Indeed, finding the solution to the RSA-140 challenge in February 1999 — factoring a 140-digit (465-bit) prime number — required 200 computers across the Internet about 4 weeks for the first step and a Cray computer 100 hours and 810 MB of memory to do the second step.

In early 1999, Shamir (of RSA fame) described a new machine that could increase factorization speed by 2-3 orders of magnitude. Although no detailed plans were provided nor is one known to have been built, the concepts of TWINKLE (The Weizmann Institute Key Locating Engine) could result in a specialized piece of hardware that would cost about $5000 and have the processing power of 100-1000 PCs. There still appear to be many engineering details that have to be worked out before such a machine could be built. Furthermore, the hardware improves the sieve step only; the matrix operation is not optimized at all by this design and the complexity of this step grows rapidly with key length, both in terms of processing time and memory requirements. Nevertheless, this plan conceptually puts 512-bit keys within reach of being factored. Although most PKC schemes allow keys that are 1024 bits and longer, Shamir claims that 512-bit RSA keys "protect 95% of today's E-commerce on the Internet." (See Bruce Schneier's Crypto-Gram (May 15, 1999) for more information, as well as the comments from RSA Labs.)

It is also interesting to note that while cryptography is good and strong cryptography is better, long keys may disrupt the nature of the randomness of data files. Shamir and van Someren ("Playing hide and seek with stored keys") have noted that a new generation of viruses can be written that will find files encrypted with long keys, making them easier to find by intruders and, therefore, more prone to attack.

Finally, U.S. government policy has tightly controlled the export of crypto products since World War II. Until recently, export outside of North America of cryptographic products using keys greater than 40 bits in length was prohibited, which made those products essentially worthless in the marketplace, particularly for electronic commerce. More recently, the U.S. Commerce Department relaxed the regulations, allowing the general export of 56-bit SKC and 1024-bit PKC products (certain sectors, such as health care and financial, allow the export of products with even larger keys). The Commerce Department's Bureau of Export Administration maintains a Commercial Encryption Export Controls web page with more information. The potential impact of this policy on U.S. businesses is well beyond the scope of this paper.

Much of the discussion above, including the table, are based on the paper "Minimal Key Lengths for Symmetric Ciphers to Provide Adequate Commercial Security" by M. Blaze, W. Diffie, R.L. Rivest, B. Schneier, T. Shimomura, E. Thompson, and M. Wiener.

On a related topic, public key crypto schemes can be used for several purposes, including key exchange, digital signatures, authentication, and more. In those PKC systems used for SKC key exchange, the PKC key lengths are chosen so to be resistant to some selected level of attack. The length of the secret keys exchanged via that system have to have at least the same level of attack resistance. Thus, the three parameters of such a system — system strength, secret key strength, and public key strength — must be matched. This topic is explored in more detail in Determining Strengths For Public Keys Used For Exchanging Symmetric Keys (RFC 3766).


4. TRUST MODELS

Secure use of cryptography requires trust. While secret key cryptography can ensure message confidentiality and hash codes can ensure integrity, none of this works without trust. In SKC, Alice and Bob had to share a secret key. PKC solved the secret distribution problem, but how does Alice really know that Bob is who he says he is? Just because Bob has a public and private key, and purports to be "Bob," how does Alice know that a malicious person (Mallory) is not pretending to be Bob?

There are a number of trust models employed by various cryptographic schemes. This section will explore three of them:

Each of these trust models differs in complexity, general applicability, scope, and scalability.

4.1. PGP Web of Trust

Pretty Good Privacy (described more below in Section 5.5) is a widely used private e-mail scheme based on public key methods. A PGP user maintains a local keyring of all their known and trusted public keys. The user makes their own determination about the trustworthiness of a key using what is called a "web of trust."

If Alice needs Bob's public key, Alice can ask Bob for it in another e-mail or, in many cases, download the public key from an advertised server; this server might a well-known PGP key repository or a site that Bob maintains himself. In fact, Bob's public key might be stored or listed in many places. (The author's public key, for example, can be found at http://www.garykessler.net/kumquat_pubkey.html.) Alice is prepared to believe that Bob's public key, as stored at these locations, is valid.

Suppose Carol claims to hold Bob's public key and offers to give the key to Alice. How does Alice know that Carol's version of Bob's key is valid or if Carol is actually giving Alice a key that will allow Mallory access to messages? The answer is, "It depends." If Alice trusts Carol and Carol says that she thinks that her version of Bob's key is valid, then Alice may — at her option — trust that key. And trust is not necessarily transitive; if Dave has a copy of Bob's key and Carol trusts Dave, it does not necessarily follow that Alice trusts Dave even if she does trust Carol.

The point here is that who Alice trusts and how she makes that determination is strictly up to Alice. PGP makes no statement and has no protocol about how one user determines whether they trust another user or not. In any case, encryption and signatures based on public keys can only be used when the appropriate public key is on the user's keyring.

4.2. Kerberos

Kerberos is a commonly used authentication scheme on the Internet. Developed by MIT's Project Athena, Kerberos is named for the three-headed dog who, according to Greek mythology, guards the entrance of Hades (rather than the exit, for some reason!).

Kerberos employs a client/server architecture and provides user-to-server authentication rather than host-to-host authentication. In this model, security and authentication will be based on secret key technology where every host on the network has its own secret key. It would clearly be unmanageable if every host had to know the keys of all other hosts so a secure, trusted host somewhere on the network, known as a Key Distribution Center (KDC), knows the keys for all of the hosts (or at least some of the hosts within a portion of the network, called a realm). In this way, when a new node is brought online, only the KDC and the new node need to be configured with the node's key; keys can be distributed physically or by some other secure means.



FIGURE 3: Kerberos architecture.


The Kerberos Server/KDC has two main functions (Figure 3), known as the Authentication Server (AS) and Ticket-Granting Server (TGS). The steps in establishing an authenticated session between an application client and the application server are:

  1. The Kerberos client software establishes a connection with the Kerberos server's AS function. The AS first authenticates that the client is who it purports to be. The AS then provides the client with a secret key for this login session (the TGS session key) and a ticket-granting ticket (TGT), which gives the client permission to talk to the TGS. The ticket has a finite lifetime so that the authentication process is repeated periodically.
  2. The client now communicates with the TGS to obtain the Application Server's key so that it (the client) can establish a connection to the service it wants. The client supplies the TGS with the TGS session key and TGT; the TGS responds with an application session key (ASK) and an encrypted form of the Application Server's secret key; this secret key is never sent on the network in any other form.
  3. The client has now authenticated itself and can prove its identity to the Application Server by supplying the Kerberos ticket, application session key, and encrypted Application Server secret key. The Application Server responds with similarly encrypted information to authenticate itself to the client. At this point, the client can initiate the intended service requests (e.g., Telnet, FTP, HTTP, or e-commerce transaction session establishment).

The current shipping version of this protocol is Kerberos V5 (described in RFC 1510), although Kerberos V4 still exists and is seeing some use. While the details of their operation, functional capabilities, and message formats are different, the conceptual overview above pretty much holds for both. One primary difference is that Kerberos V4 uses only DES to generate keys and encrypt messages, while V5 allows other schemes to be employed (although DES is still the most widely algorithm used).

4.3. Public Key Certificates and Certificate Authorities

Certificates and Certificate Authorities (CA) are necessary for widespread use of cryptography for e-commerce applications. While a combination of secret and public key cryptography can solve the business issues discussed above, crypto cannot alone address the trust issues that must exist between a customer and vendor in the very fluid, very dynamic e-commerce relationship. How, for example, does one site obtain another party's public key? How does a recipient determine if a public key really belongs to the sender? How does the recipient know that the sender is using their public key for a legitimate purpose for which they are authorized? When does a public key expire? How can a key be revoked in case of compromise or loss?

The basic concept of a certificate is one that is familiar to all of us. A driver's license, credit card, or SCUBA certification, for example, identify us to others, indicate something that we are authorized to do, have an expiration date, and identify the authority that granted the certificate.

As complicated as this may sound, it really isn't! Consider driver's licenses. I have one issued by the State of Vermont. The license establishes my identity, indicates the type of vehicles that I can operate and the fact that I must wear corrective lenses while doing so, identifies the issuing authority, and notes that I am an organ donor. When I drive outside of Vermont, the other jurisdictions throughout the U.S. recognize the authority of Vermont to issue this "certificate" and they trust the information it contains. Now, when I leave the U.S., everything changes. When I am in Canada and many other countries, they will accept not the Vermont license, per se, but any license issued in the U.S.; some other countries may not recognize the Vermont driver's license as sufficient bona fides that I can drive. This analogy represents the certificate chain, where even certificates carry certificates.

For purposes of electronic transactions, certificates are digital documents. The specific functions of the certificate include:

Typically, a certificate contains a public key, a name, an expiration date, the name of the authority that issued the certificate (and, therefore, is vouching for the identity of the user), a serial number, any pertinent policies describing how the certificate was issued and/or how the certificate may be used, the digital signature of the certificate issuer, and perhaps other information.



FIGURE 4: GTE Cybertrust Global Root-issued certificate as viewed
by Netscape Navigator V4.


A sample abbreviated certificate is shown in Figure 4. This is a typical certificate found in a browser; while this one is issued by GTE Cybertrust, many so-called root-level certificates can be found shipped with browsers. When the browser makes a connection to a secure Web site, the Web server sends its public key certificate to the browser. The browser then checks the certificate's signature against the public key that it has stored; if there is a match, the certificate is taken as valid and the Web site verified by this certificate is considered to be "trusted."

TABLE 2. Contents of an X.509 V3 Certificate.
    version number
    certificate serial number
    signature algorithm identifier
    issuer's name and unique identifier
    validity (or operational) period
    subject's name and unique identifier
    subject public key information
    standard extensions
      certificate appropriate use definition
      key usage limitation definition
      certificate policy information
    other extensions
      Application-specific
      CA-specific


The most widely accepted certificate format is the one defined in International Telecommunication Union Telecommunication Standardization Sector (ITU-T) Recommendation X.509. Rec. X.509 is a specification used around the world and any applications complying with X.509 can share certificates. Most certificates today comply with X.509 Version 3 and contain the information listed in Table 2.

Certificate authorities are the repositories for public-keys and can be any agency that issues certificates. A company, for example, may issue certificates to its employees, a college/university to its students, a store to its customers, an Internet service provider to its users, or a government to its constituents.

When a sender needs an intended receiver's public key, the sender must get that key from the receiver's CA. That scheme is straight-forward if the sender and receiver have certificates issued by the same CA. If not, how does the sender know to trust the foreign CA? One industry wag has noted, about trust: "You are either born with it or have it granted upon you." Thus, some CAs will be trusted because they are known to be reputable, such as the CAs operated by AT&T, BBN, Canada Post Corp., CommerceNet, GTE Cybertrust, MCI, Nortel EnTrust, Thawte, the U.S. Postal Service, and VeriSign. CAs, in turn, form trust relationships with other CAs. Thus, if a user queries a foreign CA for information, the user may ask to see a list of CAs that establish a "chain of trust" back to the user.

One major feature to look for in a CA is their identification policies and procedures. When a user generates a key pair and forwards the public key to a CA, the CA has to check the sender's identification and takes any steps necessary to assure itself that the request is really coming from the advertised sender. Different CAs have different identification policies and will, therefore, be trusted differently by other CAs. Verification of identity is just of many issues that are part of a CA's Certification Practice Statement (CPS) and policies; other issues include how the CA protects the public keys in its care, how lost or compromised keys are revoked, and how the CA protects its own private keys.

4.4. Summary

The paragraphs above describe three very different trust models. It is hard to say that any one is better than the others; it depend upon your application. One of the biggest and fastest growing applications of cryptography today, though, is electronic commerce (e-commerce), a term that itself begs for a formal definition.

PGP's web of trust is easy to maintain and very much based on the reality of users as people. The model, however, is limited; just how many public keys can a single user reliably store and maintain? And what if you are using the "wrong" computer when you want to send a message and can't access your keyring? How easy it is to revoke a key if it is compromised? PGP may also not scale well to an e-commerce scenario of secure communication between total strangers on short-notice.

Kerberos overcomes many of the problems of PGP's web of trust, in that it is scalable and its scope can be very large. However, it also requires that the Kerberos server have a priori knowledge of all client systems prior to any transactions, which makes it unfeasible for "hit-and-run" client/server relationships as seen in e-commerce.

Certificates and the collection of CAs will form a Public Key Infrastructure (PKI). In the early days of the Internet, every host had to maintain a list of every other host; the Domain Name System (DNS) introduced the idea of a distributed database for this purpose and the DNS is one of the key reasons that the Internet has grown as it has. A PKI will fill a similar void in the e-commerce and PKC realm.

While certificates and the benefits of a PKI are most often associated with electronic commerce, the applications for PKI are much broader and include secure electronic mail, payments and electronic checks, Electronic Data Interchange (EDI), secure transfer of Domain Name System (DNS) and routing information, electronic forms, and digitally signed documents. A single "global PKI" is still many years away, that is the ultimate goal of today's work as international electronic commerce changes the way in which we do business in a similar way in which the Internet has changed the way in which we communicate.


5. CRYPTOGRAPHIC ALGORITHMS IN ACTION

The paragraphs above have provided an overview of the different types of cryptographic algorithms, as well as some examples of some available protocols and schemes. Table 3 provides an even longer list of some of the schemes employed today for a variety of functions, most notably electronic commerce. The paragraphs below will show several real cryptographic applications that many of us employ (knowingly or not) everyday; for password protection and private communication.


TABLE 3. Other Crypto Algorithms and Systems of Note.

Capstone A now-defunct U.S. National Institute of Standards and Technology (NIST) and National Security Agency (NSA) project under the Bush Sr. and Clinton administrations for publicly available strong cryptography with keys escrowed by the government (NIST and the Treasury Dept.). Capstone included in one or more tamper-proof computer chips for implementation (Clipper), a secret key encryption algorithm (Skipjack), digital signature algorithm (DSA), key exchange algorithm (KEA), and hash algorithm (SHA).
Clipper The computer chip that would implement the Skipjack encryption scheme. See also EPIC's The Clipper Chip Web page.
Escrowed Encryption Standard (EES) Largely unused, a controversial crypto scheme employing the SKIPJACK secret key crypto algorithm and a Law Enforcement Access Field (LEAF) creation method. LEAF was one part of the key escrow system and allowed for decryption of ciphertext messages that had been legally intercepted by law enforcement agencies. Described more in FIPS 185.
Federal Information Processing Standards (FIPS) These computer security- and crypto-related FIPS are produced by the U.S. National Institute of Standards and Technology (NIST) as standards for the U.S. Government.
Fortezza (formerly called Tessera) A PCMCIA card developed by NSA that implements the Capstone algorithms, intended for use with the Defense Messaging Service (DMS).
IP Security Protocol (IPsec) The IPsec protocol suite is used to provide privacy and authentication services at the IP layer. An overview of the protocol suite and of the documents comprising IPsec can be found in RFC 2411. Other documents include:
  • RFC 2401: IP security architecture.
  • RFC 2402: IP Authentication Header (AH), one of the two primary IPsec functions; AH provides connectionless integrity and data origin authentication for IP datagrams and protects against replay attacks.
  • RFC 2403: Describes use of the HMAC with MD5 algorithm for data origin authentication and integrity protection in both AH and ESP.
  • RFC 2404: Describes use of the HMAC with SHA-1 algorithm for data origin authentication and integrity protection in both AH and ESP.
  • RFC 2405: Describes use of DES-CBC (DES in Cipher Block Chaining Mode) for confidentiality in ESP.
  • RFC 2406: IP Encapsulating Security Payload (ESP), the other primary IPsec function; ESP provides a variety of security services within IPsec.
  • RFC 2407: Describes the application of ISAKMP to IPsec.
  • RFC 2408: Describes ISAKMP, a framework for key management and security associations.
  • RFC 2409: The Internet Key Exchange (IKE) algorithm, using part of Oakley and part of SKEME in conjunction with ISAKMP to obtain authenticated keying material for use with ISAKMP, and for other security associations such as AH and ESP.
  • RFC 2410: Defines use of the NULL encryption algorithm (i.e., provides authentication and integrity without confidentiality) in ESP.
  • RFC 2412: Describes OAKLEY, a key determination and distribution protocol.
  • RFC 2451: Describes use of Cipher Block Chaining (CBC) mode cipher algorithms with ESP.
  • RFCs 2522 and 2523: Description of Photuris, a session-key management protocol for IPsec.

IPsec was first proposed for use with IP version 6 (IPv6), but can also be employed with the current IP version, IPv4.

(See more detail about IPsec below in Section 5.6.)

Internet Security Association and Key Management Protocol (ISAKMP/OAKLEY) ISAKMP/OAKLEY provide an infrastructure for Internet secure communications. ISAKMP, designed by the National Security Agency (NSA) and described in RFC 2408, is a framework for key management and security associations, independent of the key generation and cryptographic algorithms actually employed. The OAKLEY Key Determination Protocol, described in RFC 2412, is a key determination and distribution protocol using a variation of Diffie-Hellman.
Kerberos A secret-key encryption and authentication system, designed to authenticate requests for network resources within a user domain rather than to authenticate messages. Kerberos also uses a trusted third-party approach; a client communications with the Kerberos server to obtain "credentials" so that it may access services at the application server. Kerberos V4 uses DES to generate keys and encrypt messages; DES is also commonly used in Kerberos V5, although other schemes could be employed.

Microsoft added support for Kerberos V5 — with some proprietary extensions — in Windows 2000. There are many Kerberos articles posted at Microsoft's Knowledge Base, notably "Basic Overview of Kerberos User Authentication Protocol in Windows 2000," "Windows 2000 Kerberos 5 Ticket Flags and KDC Options for AS_REQ and TGS_REQ Messages," and "Kerberos Administration in Windows 2000."

Keyed-Hash Message Authentication Code (HMAC) A message authentication scheme based upon secret key cryptography and the secret key shared between two parties rather than public key methods. Described in FIPS 198 and RFC 2104.
Message Digest Cipher (MDC) Invented by Peter Gutman, MDC turns a one-way hash function into a block cipher.
MIME Object Security Standard (MOSS) Designed as a successor to PEM to provide PEM-based security services to MIME messages.
Pretty Good Privacy (PGP) A family of cryptographic routines for e-mail and file storage applications developed by Philip Zimmermann. PGP 2.6.x uses RSA for key management and digital signatures, IDEA for message encryption, and MD5 for computing the message's hash value; more information can also be found in RFC 1991. PGP 5.x (formerly known as "PGP 3") uses Diffie-Hellman/DSS for key management and digital signatures; IDEA, CAST, or 3DES for message encryption; and MD5 or SHA for computing the message's hash value. OpenPGP, described in RFC 2440, is an open definition of security software based on PGP 5.x.

(See more detail about PGP below in Section 5.5.)

Privacy Enhanced Mail (PEM) Provides secure electronic mail over the Internet and includes provisions for encryption (DES), authentication, and key management (DES, RSA). May be superseded by S/MIME and PEM-MIME. Developed by IETF PEM Working Group and defined in four RFCs:
  • RFC 1421: Part I, Message Encryption and Authentication Procedures
  • RFC 1422: Part II, Certificate-Based Key Management
  • RFC 1423: Part III, Algorithms, Modes, and Identifiers
  • RFC 1424: Part IV, Key Certification and Related Services
  • Private Communication Technology (PCT) Developed by Microsoft and Visa for secure communication on the Internet. Similar to SSL, PCT supports Diffie-Hellman, Fortezza, and RSA for key establishment; DES, RC2, RC4, and triple-DES for encryption; and DSA and RSA message signatures. A companion to SET.
    Secure Electronic Transactions (SET) A merging of two other protocols: SEPP (Secure Electronic Payment Protocol), an open specification for secure bank card transactions over the Internet, developed by CyberCash, GTE, IBM, MasterCard, and Netscape; and STT (Secure Transaction Technology), a secure payment protocol developed by Microsoft and Visa International. Supports DES and RC4 for encryption, and RSA for signatures, key exchange, and public-key encryption of bank card numbers. SET is a companion to the PCT protocol.
    Secure Hypertext Transfer Protocol (S-HTTP) An extension to HTTP to provide secure exchange of documents over the World Wide Web. Supported algorithms include RSA and Kerberos for key exchange, DES, IDEA, RC2, and Triple-DES for encryption.
    Secure Multipurpose Internet Mail Extensions (S/MIME) An IETF secure e-mail scheme intended to supercede PEM. S/MIME, described in RFCs 2311 and 2312, adds digital signature and encryption capability to Internet MIME messages.
    Secure Sockets Layer (SSL) Developed by Netscape Communications to provide application-independent security and privacy over the Internet. SSL is designed so that protocols such as HTTP, FTP (File Transfer Protocol), and Telnet can operate over it transparently. SSL allows both server authentication (mandatory) and client authentication (optional). RSA is used during negotiation to exchange keys and identify the actual cryptographic algorithm (DES, IDEA, RC2, RC4, or 3DES) to use for the session. SSL also uses MD5 for message digests and X.509 public-key certificates. (Found to be breakable soon after the IETF announced formation of group to work on TLS.)

    (See more detail about SSL below in Section 5.7.)

    Server Gated Cryptography (SGC) Microsoft extension to SSL that provides strong encryption for online banking and other financial applications using RC2 (128-bit key), RC4 (128-bit key), DES (56-bit key), or 3DES (equivalent of 168-bit key). Use of SGC requires a Windows NT Server running Internet Information Server (IIS) 4.0 with a valid SGC certificate. SGC is available in 32-bit Windows versions of Internet Explorer (IE) 4.0, and support for Mac, Unix, and 16-bit Windows versions of IE is expected in the future.
    Simple Key-Management for Internet Protocol (SKIP) Key management scheme for secure IP communication, specifically for IPsec, and designed by Aziz and Diffie. SKIP essentially defines a public key infrastructure for the Internet and even uses X.509 certificates. Most public key cryptosystems assign keys on a per-session basis, which is inconvenient for the Internet since IP is connectionless. Instead, SKIP provides a basis for secure communication between any pair of Internet hosts. SKIP can employ DES, 3DES, IDEA, RC2, RC5, MD5, and SHA-1.
    Transport Layer Security (TLS) IETF specification (RFC 2246) intended to replace SSL. Employs Triple-DES (secret key cryptography), SHA (hash), Diffie-Hellman (key exchange), and DSS (digital signatures).

    (See more detail about TLS below in Section 5.7.)

    X.509 ITU-T recommendation for the format of certificates for the public key infrastructure. Certificates map (bind) a user identity to a public key. The IETF application of X.509 certificates is documented in RFC 2459. An Internet X.509 Public Key Infrastructure is further defined in RFC 2510 (Certificate Management Protocols) and RFC 2527 (Certificate Policy and Certification Practices Framework).


    5.1. Password Protection

    Nearly all modern multiuser computer and network operating systems employ passwords at the very least to protect and authenticate users accessing computer and/or network resources. But passwords are not typically kept on a host or server in plaintext, but are generally encrypted using some sort of hash scheme.


    A) /etc/passwd file
    
     root:Jbw6BwE4XoUHo:0:0:root:/root:/bin/bash
     carol:FM5ikbQt1K052:502:100:Carol Monaghan:/home/carol:/bin/bash
     alex:LqAi7Mdyg/HcQ:503:100:Alex Insley:/home/alex:/bin/bash
     gary:FkJXupRyFqY4s:501:100:Gary Kessler:/home/gary:/bin/bash
     todd:edGqQUAaGv7g6:506:101:Todd Pritsky:/home/todd:/bin/bash
     josh:FiH0ONcjPut1g:505:101:Joshua Kessler:/home/webroot:/bin/bash
    
    B.1) /etc/passwd file (with shadow passwords)
    
     root:x:0:0:root:/root:/bin/bash
     carol:x:502:100:Carol Monaghan:/home/carol:/bin/bash
     alex:x:503:100:Alex Insley:/home/alex:/bin/bash
     gary:x:501:100:Gary Kessler:/home/gary:/bin/bash
     todd:x:506:101:Todd Pritsky:/home/todd:/bin/bash
     josh:x:505:101:Joshua Kessler:/home/webroot:/bin/bash
    
    B.2) /etc/shadow file
    
     root:AGFw$1$P4u/uhLK$l2.HP35rlu65WlfCzq:11449:0:99999:7:::
     carol:kjHaN%35a8xMM8a/0kMl1?fwtLAM.K&kw.:11449:0:99999:7:::
     alex:1$1KKmfTy0a7#3.LL9a8H71lkwn/.hH22a:11449:0:99999:7:::
     gary:9ajlknknKJHjhnu7298ypnAIJKL$Jh.hnk:11449:0:99999:7:::
     todd:798POJ90uab6.k$klPqMt%alMlprWqu6$.:11492:0:99999:7:::
     josh:Awmqpsui*787pjnsnJJK%aappaMpQo07.8:11492:0:99999:7:::
    

    FIGURE 5: Sample entries in Unix/Linux password files.

    Unix/Linux, for example, uses a well-known hash via its crypt() function. Passwords are stored in the /etc/passwd file (Figure 5A); each record in the file contains the username, hashed password, user's individual and group numbers, user's name, home directory, and shell program; these fields are separated by colons (:). Note that each password is stored as a 13-byte string. The first two characters are actually a salt, randomness added to each password so that if two users have the same password, they will still be encrypted differently; the salt, in fact, provides a means so that a single password might have 4096 different encryptions. The remaining 11 bytes are the password hash, calculated using DES.

    As it happens, the /etc/passwd file is world-readable on Unix systems. This fact, coupled with the weak encryption of the passwords, resulted in the development of the shadow password system where passwords are kept in a separate, non-world-readable file used in conjunction with the normal password file. When shadow passwords are used, the password entry in /etc/passwd is replaced with a "*" or "x" (Figure 5B.1) and the MD5 hash of the passwords are stored in /etc/shadow along with some other account information (Figure 5B.2).


    Windows NT uses a similar scheme to store passwords in the Security Access Manager (SAM) file. In the NT case, all passwords are hashed using the MD4 algorithm, resulting in a 128-bit (16-byte) hash value (they are then obscured using an undocumented mathematical transformation that was a secret until distributed on the Internet). The password password, for example, might be stored as the hash value (in hexadecimal) 60771b22d73c34bd4a290a79c8b09f18.

    Passwords are not saved in plaintext on computer systems precisely so they cannot be easily compromised. For similar reasons, we don't want passwords sent in plaintext across a network. But for remote logon applications, how does a client system identify itself or a user to the server? One mechanism, of course, is to send the password as a hash value and that, indeed, may be done. A weakness of that approach, however, is that an intruder can grab the password off of the network and use an off-line attack (such as a dictionary attack where an attacker takes every known word and encrypts it with the network's encryption algorithm, hoping eventually to find a match with a purloined password hash). In some situations, an attacker only has to copy the hashed password value and use it later on to gain unauthorized entry without ever learning the actual password.

    An even stronger authentication method uses the password to modify a shared secret between the client and server, but never allows the password in any form to go across the network. This is the basis for the Challenge Handshake Authentication Protocol (CHAP), the remote logon process used by Windows NT.

    As suggested above, Windows NT passwords are stored in a security file on a server as a 16-byte hash value. In truth, Windows NT stores two hashes; a weak hash based upon the old LAN Manager (LanMan) scheme and the newer NT hash. When a user logs on to a server from a remote workstation, the user is identified by the username, sent across the network in plaintext (no worries here; it's not a secret anyway!). The server then generates a 64-bit random number and sends it to the client (also in plaintext). This number is the challenge.

    Using the LanMan scheme, the client system then encrypts the challenge using DES. Recall that DES employs a 56-bit key, acts on a 64-bit block of data, and produces a 64-bit output. In this case, the 64-bit data block is the random number. The client actually uses three different DES keys to encrypt the random number, producing three different 64-bit outputs. The first key is the first seven bytes (56 bits) of the password's hash value, the second key is the next seven bytes in the password's hash, and the third key is the remaining two bytes of the password's hash concatenated with five zero-filled bytes. (So, for the example above, the three DES keys would be 60771b22d73c34, bd4a290a79c8b0, and 9f180000000000.) Each key is applied to the random number resulting in three 64-bit outputs, which comprise the response. Thus, the server's 8-byte challenge yields a 24-byte response from the client and this is all that would be seen on the network. The server, for its part, does the same calculation to ensure that the values match.

    There is, however, a significant weakness to this system. Specifically, the response is generated in such a way as to effectively reduce 16-byte hash to three smaller hashes, of length seven, seven, and two. Thus, a password cracker has to break at most a 7-byte hash. One Windows NT vulnerability test program that I have used in the past will report passwords that are "too short," defined as "less than 8 characters." When I asked how the program knew that passwords were too short, the software's salespeople suggested to me that the program broke the passwords to determine their length. This is undoubtedly not true; all the software really has to do is look at the second 7-byte block and some known value indicates that it is empty, which would indicate a password of seven or less characters.

    Consider the following example, showing the LanMan hash of two different short passwords (take a close look at the last 8 bytes):

    AA: 89D42A44E77140AAAAD3B435B51404EE
    AAA: 1C3A2B6D939A1021AAD3B435B51404EE

    Note that the NT hash provides no such clue:

    AA: C5663434F963BE79C8FD99F535E7AAD8
    AAA: 6B6E0FB2ED246885B98586C73B5BFB77

    It is worth noting that the discussion above describes the Microsoft version of CHAP, or MS-CHAP (MS-CHAPv2 is described in RFC 2759). MS-CHAP assumes that it is working with hashed values of the password as the key to encrypting the challenge. More traditional CHAP (RFC 1994) assumes that it is starting with passwords in plaintext. The relevance of this observation is that a CHAP client, for example, cannot be authenticated by an MS-CHAP server; both client and server must use the same CHAP version.

    5.2. Some of the Finer Details of Diffie-Hellman

    The first published public-key crypto algorithm was Diffie-Hellman. The mathematical "trick" of this scheme is that it is relatively easy to compute exponents compared to computing discrete logarithms. Diffie-Hellman allows two parties — the ubiquitous Alice and Bob — to generate a secret key; they need to exchange some information over an unsecure communications channel to perform the calculation but an eavesdropper cannot determine the shared key based upon this information.

    Diffie-Hellman works like this. Alice and Bob start by agreeing on a large prime number, n. They also have to choose some number g so that g<n.

    There is actually another constraint on g, specifically that it must be primitive with respect to n. Primitive is a definition that is a little beyond the scope of our discussion but basically g is primitive to n if we can find integers i so that gi = j mod n for all values of j from 1 to n-1. As an example, 2 is not primitive to 7 because the set of powers of 2 from 1 to 6, mod 7 = {2,4,1,2,4,1}. On the other hand, 3 is primitive to 7 because the set of powers of 3 from 1 to 6, mod 7 = {3,2,6,4,5,1}.

    (The definition of primitive introduced a new term to some readers, namely mod. The phrase x mod y (and read as written!) means "take the remainder after dividing x by y." Thus, 1 mod 7 = 1, 9 mod 6 = 3, and 8 mod 8 = 0.)

    Anyway, either Alice or Bob selects n and g; they then tell the other party what the values are. Alice and Bob then work independently:

    Alice...

    Choose a large random number, x
    Send to Bob: X = gx mod n
    Compute: KA = Yx mod n
    Bob...

    Choose a large random number, y
    Send to Alice: Y = gy mod n
    Compute: KB = Xy mod n

    Note that x and y are kept secret while X and Y are openly shared; these are the private and public keys, respectively. Based on their own private key and the public key learned from the other party, Alice and Bob have computed their secret keys, KA and KB, respectively, which are equal to gxy mod n.

    Perhaps a small example will help here. Although Alice and Bob will really choose large values for n and g, I will use small values for example only; let's use n=7 and g=3.

    Alice...

    Choose x=2
    Send to Bob: X = 32 mod 7 = 2
    KA = 62 mod 7 = 1
    Bob...

    Choose y=3
    Send to Alice: Y = 33 mod 7 = 6
    KB = 23 mod 7 = 1

    In this example, then, Alice and Bob will both find the secret key 1 which is, indeed, 36 mod 7. If an eavesdropper (Mallory) was listening in on the information exchange between Alice and Bob, he would learn g, n, X, and Y which is a lot of information but insufficient to compromise the key; as long as x and y remain unknown, K is safe. As said above, calculating X as gx is a lot easier than finding x as logg X!

    A short digression on modulo arithmetic. In the paragraph above, we noted that 36 mod 7 = 1. This can be confirmed, of course, by noting that:

    36 = 729 = 104*7 + 1

    There is a nice property of modulo arithmetic, however, that makes this determination a little easier, namely: (a mod x)(b mod x) = (ab mod x). Therefore, one possible shortcut is to note that 36 = (33)(33). Therefore, 36 mod 7 = (33 mod 7)(33 mod 7) = (27 mod 7)(27 mod 7) = 6*6 mod 7 = 36 mod 7 = 1.

    Diffie-Hellman can also be used to allow key sharing amongst multiple users. Note again that the Diffie-Hellman algorithm is used to generate secret keys, not to encrypt and decrypt messages.

    5.3. Some of the Finer Details of RSA Public-Key Cryptography

    Unlike Diffie-Hellman, RSA can be used for key exchange as well as digital signatures and the encryption of small blocks of data. Today, RSA is primary used to encrypt the session key used for secret key encryption (message integrity) or the message's hash value (digital signature). RSA's mathematical hardness comes from the ease in calculating large numbers and the difficulty in finding the prime factors of those large numbers. Although employed with numbers using hundreds of digits, the math behind RSA is relatively straight-forward.

    To create an RSA public/private key pair, here are the basic steps:

    1. Choose two prime numbers, p and q. From these numbers you can calculate the modulus, n = pq.
    2. Select a third number, e, that is relatively prime to (i.e., it does not divide evenly into) the product (p-1)(q-1). The number e is the public exponent.
    3. Calculate an integer d from the quotient (ed-1)/[(p-1)(q-1)]. The number d is the private exponent.

    The public key is the number pair (n,e). Although these values are publicly known, it is computationally infeasible to determine d from n and e if p and q are large enough.

    To encrypt a message, M, with the public key, create the ciphertext, C, using the equation:

    The receiver then decrypts the ciphertext with the private key using the equation:

    Now, this might look a bit complex and, indeed, the mathematics does take a lot of computer power given the large size of the numbers; since p and q may be 100 digits (decimal) or more, d and e will be about the same size and n may be over 200 digits. Nevertheless, a simple example may help. In this example, the values for p, q, e, and d are purposely chosen to be very small and the reader will see exactly how badly these values perform, but hopefully the algorithm will be adequately demonstrated:

    1. Select p=3 and q=5.
    2. The modulus n = pq = 15.
    3. The value e must be relatively prime to (p-1)(q-1) = (2)(4) = 8. Select e=11
    4. The value d must be chosen so that (ed-1)/[(p-1)(q-1)] is an integer. Thus, the value (11d-1)/[(2)(4)] = (11d-1)/8 must be an integer. Calculate one possible value, d=3.
    5. Let's say we wish to send the string SECRET. For this example, we will convert the string to the decimal representation of the ASCII values of the characters, which would be 83 69 67 82 69 84.
    6. The sender encrypts each digit one at a time (we have to because the modulus is so small) using the public key value (e,n)=(11,15). Thus, each ciphertext character Ci = Mi11 mod 15. The input digit string 0x836967826984 will be transmitted as 0x2c696d286924.
    7. The receiver decrypts each digit using the private key value (d,n)=(3,15). Thus, each plaintext character Mi = Ci3 mod 15. The input digit string 0x2c696d286924 will be converted to 0x836967826984 and, presumably, reassembled as the plaintext string SECRET.

    Again, the example above uses small values for simplicity and, in fact, shows the weakness of small values; note that 4, 6, and 9 do not change when encrypted, and that the values 2 and 8 encrypt to 8 and 2, respectively. Nevertheless, this simple example demonstrates how RSA can be used to exchange information.

    RSA keylengths of 512 and 768 bits are considered to be pretty weak. The minimum suggested RSA key is 1024 bits; 2048 and 3072 bits are even better.

    As an aside, Adam Back (http://www.cypherspace.org/~adam/) wrote a two-line Perl script to implement RSA. It employs dc, an arbitrary precision arithmetic package that ships with most UNIX systems:

    print pack"C*",split/\D+/,`echo "16iII*o\U@{$/=$z;[(pop,pop,unpack"H*",<>
    )]}\EsMsKsN0[lN*1lK[d2%Sa2/d0<X+d*lMLa^*lN%0]dsXx++lMlN/dsM0<J]dsJxp"|dc`
    

    5.4. Some of the Finer Details of DES, Breaking DES, and DES Variants

    The Data Encryption Standard (DES) has been in use since the mid-1970s, adopted by the National Bureau of Standards (NBS) [now the National Institute for Standards and Technology (NIST)] as Federal Information Processing Standard 46 (FIPS 46-3) and by the American National Standards Institute (ANSI) as X3.92.

    As mentioned earlier, DES uses the Data Encryption Algorithm (DEA), a secret key block-cipher employing a 56-bit key operating on 64-bit blocks. FIPS 81 describes four modes of DES operation: Electronic Codebook (ECB), Cipher Block Chaining (CBC), Cipher Feedback (CFB), and Output Feedback (OFB). Despite all of these options, ECB is the most commonly deployed mode of operation.

    Although other block ciphers will replace DES, it is still interesting to see how DES encryption is performed. Not only is it sort of interesting, but DES remains in many products and we will continue to see DES for some years to come.

    DES Operational Overview

    DES uses a 56-bit key. In fact, the 56-bit key is divided into eight 7-bit blocks and an 8th odd parity bit is added to each block (i.e., a "0" or "1" is added to the block so that there are an odd number of 1 bits in each 8-bit block). By using the 8 parity bits for rudimentary error detection, a DES key is actually 64 bits in length for computational purposes (although it only has 56 bits worth of randomness, or entropy).




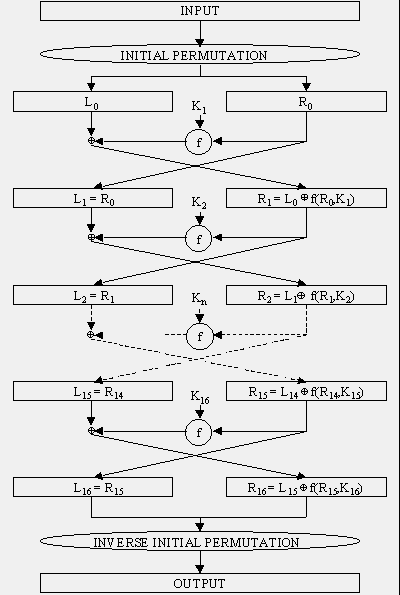
    FIGURE 6: DES enciphering algorithm.


    DES then acts on 64-bit blocks of the plaintext, invoking 16 rounds of permutations, swaps, and substitutes, as shown in Figure 6. The standard includes tables describing all of the selection, permutation, and expansion operations mentioned below; these aspects of the algorithm are not secrets. The basic DES steps are:

    1. The 64-bit block to be encrypted undergoes an initial permutation (IP), where each bit is moved to a new bit position; e.g., the 1st, 2nd, and 3rd bits are moved to the 58th, 50th, and 42nd position, respectively.

    2. The 64-bit permuted input is divided into two 32-bit blocks, called left and right, respectively. The initial values of the left and right blocks are denoted L0 and R0.

    3. There are then 16 rounds of operation on the L and R blocks. During each iteration (where n ranges from 1 to 16), the following formulae apply: At any given step in the process, then, the new L block value is merely taken from the prior R block value. The new R block is calculated by taking the bit-by-bit exclusive-OR (XOR) of the prior L block with the results of applying the DES cipher function, f, to the prior R block and Kn. (Kn is a 48-bit value derived from the 64-bit DES key. Each round uses a different 48 bits according to the standard's Key Schedule algorithm.)

      The cipher function, f, combines the 32-bit R block value and the 48-bit subkey in the following way. First, the 32 bits in the R block are expanded to 48 bits by an expansion function (E); the extra 16 bits are found by repeating the bits in 16 predefined positions. The 48-bit expanded R-block is then ORed with the 48-bit subkey. The result is a 48-bit value that is then divided into eight 6-bit blocks. These are fed as input into 8 selection (S) boxes, denoted S1,...,S8. Each 6-bit input yields a 4-bit output using a table lookup based on the 64 possible inputs; this results in a 32-bit output from the S-box. The 32 bits are then rearranged by a permutation function (P), producing the results from the cipher function.

    4. The results from the final DES round — i.e., L16 and R16 — are recombined into a 64-bit value and fed into an inverse initial permutation (IP-1). At this step, the bits are rearranged into their original positions, so that the 58th, 50th, and 42nd bits, for example, are moved back into the 1st, 2nd, and 3rd positions, respectively. The output from IP-1 is the 64-bit ciphertext block.

    Consider this example with the given 56-bit key and input:

    Breaking DES

    The mainstream cryptographic community has long held that DES's 56-bit key was too short to withstand a brute-force attack from modern computers. Remember Moore's Law: computer power doubles every 18 months. Given that increase in power, a key that could withstand a brute-force guessing attack in 1975 could hardly be expected to withstand the same attack a quarter century later.

    DES is even more vulnerable to a brute-force attack because it is often used to encrypt words, meaning that the entropy of the 64-bit block is, effectively, greatly reduced. That is, if we are encrypting random bit streams, then a given byte might contain any one of 28 (256) possible values and the entire 64-bit block has 264, or about 18.5 quintillion, possible values. If we are encrypting words, however, we are most likely to find a limited set of bit patterns; perhaps 70 or so if we account for upper and lower case letters, the numbers, space, and some punctuation. This means that only about ¼ of the bit combinations of a given byte are likely to occur.

    Despite this criticism, the U.S. government insisted throughout the mid-1990s that 56-bit DES was secure and virtually unbreakable if appropriate precautions were taken. In response, RSA Laboratories sponsored a series of cryptographic challenges to prove that DES was no longer appropriate for use.

    DES Challenge I was launched in March 1997. It was completed in 84 days by R. Verser in a collaborative effort using thousands of computers on the Internet.

    The first DES II challenge lasted 40 days in early 1998. This problem was solved by distributed.net, a worldwide distributed computing network using the spare CPU cycles of computers around the Internet (participants in distributed.net's activities load a client program that runs in the background, conceptually similar to the SETI @Home "Search for Extraterrestrial Intelligence" project). The distributed.net systems were checking 28 billion keys per second by the end of the project.

    The second DES II challenge lasted less than 3 days. On July 17, 1998, the Electronic Frontier Foundation (EFF) announced the construction of hardware that could brute-force a DES key in an average of 4.5 days. Called Deep Crack, the device could check 90 billion keys per second and cost only about $220,000 including design (it was erroneously and widely reported that subsequent devices could be built for as little as $50,000). Since the design is scalable, this suggests that an organization could build a DES cracker that could break 56-bit keys in an average of a day for as little as $1,000,000. Information about the hardware design and all software can be obtained from the EFF.

    The DES III challenge, launched in January 1999, was broken is less than a day by the combined efforts of Deep Crack and distributed.net. This is widely considered to have been the final nail in DES's coffin.

    The Deep Crack algorithm is actually quite interesting. The general approach that the DES Cracker Project took was not to break the algorithm mathematically but instead to launch a brute-force attack by guessing every possible key. A 56-bit key yields 256, or about 72 quadrillion, possible values. So the DES cracker team looked for any shortcuts they could find! First, they assumed that some recognizable plaintext would appear in the decrypted string even though they didn't have a specific known plaintext block. They then applied all 256 possible key values to the 64-bit block (I don't mean to make this sound simple!). The system checked to see if the decrypted value of the block was "interesting," which they defined as bytes containing one of the alphanumeric characters, space, or some punctuation. Since the likelihood of a single byte being "interesting" is about ¼, then the likelihood of the entire 8-byte stream being "interesting" is about ¼8, or 1/65536 (½16). This dropped the number of possible keys that might yield positive results to about 240, or about a trillion.

    They then made the assumption that an "interesting" 8-byte block would be followed by another "interesting" block. So, if the first block of ciphertext decrypted to something interesting, they decrypted the next block; otherwise, they abandoned this key. Only if the second block was also "interesting" did they examine the key closer. Looking for 16 consecutive bytes that were "interesting" meant that only 224, or 16 million, keys needed to be examined further. This further examination was primarily to see if the text made any sense. Note that possible "interesting" blocks might be 1hJ5&aB7 or DEPOSITS; the latter is more likely to produce a better result. And even a slow laptop today can search through lists of only a few million items in a relatively short period of time. (Interested readers are urged to read Cracking DES and EFF's Cracking DES page.)

    It is well beyond the scope of this paper to discuss other forms of breaking DES and other codes. Nevertheless, it is worth mentioning a couple of forms of cryptanalysis that have been shown to be effective against DES. Differential cryptanalysis, invented in 1990 by E. Biham and A. Shamir (of RSA fame), is a chosen-plaintext attack. By selecting pairs of plaintext with particular differences, the cryptanalyst examines the differences in the resultant ciphertext pairs. Linear plaintext, invented by M. Matsui, uses a linear approximation to analyze the actions of a block cipher (including DES). Both of these attacks can be more efficient than brute force.

    DES Variants

    Once DES was "officially" broken, several variants appeared. But none of them came overnight; work at hardening DES had already been underway. In the early 1990s, there was a proposal to increase the security of DES by effectively increasing the key length by using multiple keys with multiple passes. But for this scheme to work, it had to first be shown that the DES function is not a group, as defined in mathematics. If DES was a group, then we could show that for two DES keys, X1 and X2, applied to some plaintext (P), we can find a single equivalent key, X3, that would provide the same result; i.e.,:

    EX2(EX1(P)) = EX3(P)

    where EX(P) represents DES encryption of some plaintext P using DES key X. If DES were a group, it wouldn't matter how many keys and passes we applied to some plaintext; we could always find a single 56-bit key that would provide the same result.

    As it happens, DES was proven to not be a group so that as we apply additional keys and passes, the effective key length increases. One obvious choice, then, might be to use two keys and two passes, yielding an effective key length of 112 bits. Let's call this Double-DES. The two keys, Y1 and Y2, might be applied as follows:

    C = EY2(EY1(P))
    P = DY1(DY2(C))

    where EY(P) and DY(C) represent DES encryption and decryption, respectively, of some plaintext P and ciphertext C, respectively, using DES key Y.

    So far, so good. But there's an interesting attack that can be launched against this "Double-DES" scheme. First, notice that the applications of the formula above can be thought of with the following individual steps (where C' and P' are intermediate results):

    C' = EY1(P) and C = EY2(C')
    P' = DY2(C) and P = DY1(P')

    Unfortunately, C'=P'. That leaves us vulnerable to a simple known plaintext attack (sometimes called "Meet-in-the-middle") where the attacker knows some plaintext (P) and its matching ciphertext (C). To obtain C', the attacker needs to try all 256 possible values of Y1 applied to P; to obtain P', the attacker needs to try all 256 possible values of Y2 applied to C. Since C'=P', the attacker knows when a match has been achieved — after only 256 + 256 = 257 key searches, only twice the work of brute-forcing DES. So "Double-DES" won't work.

    Triple-DES (3DES), based upon the Triple Data Encryption Algorithm (TDEA), is described in FIPS 46-3. 3DES, which is not susceptible to a meet-in-the-middle attack, employs three DES passes and one, two, or three keys called K1, K2, and K3. Generation of the ciphertext (C) from a block of plaintext (P) is accomplished by:

    C = EK3(DK2(EK1(P)))

    where EK(P) and DK(P) represent DES encryption and decryption, respectively, of some plaintext P using DES key K. (For obvious reasons, this is sometimes referred to as an encrypt-decrypt-encrypt mode operation.)

    Decryption of the ciphertext into plaintext is accomplished by:

    P = DK1(EK2(DK3(C)))

    The use of three, independent 56-bit keys provides 3DES with an effective key length of 168 bits. The specification also defines use of two keys where, in the operations above, K3 = K1; this provides an effective key length of 112 bits. Finally, a third keying option is to use a single key, so that K3 = K2 = K1 (in this case, the effective key length is 56 bits and 3DES applied to some plaintext, P, will yield the same ciphertext, C, as normal DES would with that same key). Given the relatively low cost of key storage and the modest increase in processing due to the use of longer keys, the best recommended practices are that 3DES be employed with three keys.

    Another variant of DES, called DESX, is due to Ron Rivest. Developed in 1996, DESX is a very simple algorithm that greatly increases DES's resistance to brute-force attacks without increasing its computational complexity. In DESX, the plaintext input is XORed with 64 additional key bits prior to encryption and the output is likewise XORed with the 64 key bits. By adding just two XOR operations, DESX has an effective keylength of 120 bits against an exhaustive key-search attack. As it happens, DESX is no more immune to other types of more sophisticated attacks, such as differential or linear cryptanalysis, but brute-force is the primary attack vector on DES.

    5.5. Pretty Good Privacy (PGP)

    Pretty Good Privacy (PGP) is one of today's most widely used public key cryptography programs. Developed by Philip Zimmermann in the early 1990s and long the subject of controversy, PGP is available as a plug-in for many e-mail clients, such as Claris Emailer, Microsoft Outlook/Outlook Express, and Qualcomm Eudora.

    PGP can be used to sign or encrypt e-mail messages with the mere click of the mouse. Depending upon the version of PGP, the software uses SHA or MD5 for calculating the message hash; CAST, Triple-DES, or IDEA for encryption; and RSA or DSS/Diffie-Hellman for key exchange and digital signatures.

    When PGP is first installed, the user has to create a key-pair. One key, the public key, can be advertised and widely circulated. The private key is protected by use of a passphrase. The passphrase has to be entered every time the user accesses their private key.


     -----BEGIN PGP SIGNED MESSAGE-----
     Hash: SHA1
    
     Hi Carol.
    
     What was that pithy Groucho Marx quote?
    
     /kess
    
     -----BEGIN PGP SIGNATURE-----
     Version: PGP for Personal Privacy 5.0
     Charset: noconv
    
     iQA/AwUBNFUdO5WOcz5SFtuEEQJx/ACaAgR97+vvDU6XWELV/GANjAAgBtUAnjG3
     Sdfw2JgmZIOLNjFe7jP0Y8/M
     =jUAU
     -----END PGP SIGNATURE-----
    

    FIGURE 7: A PGP signed message. The sender uses their private key; at the destination, the sender's e-mail address yields the public key from the receiver's keyring.


    Figure 7 shows a PGP signed message. This message will not be kept secret from an eavesdropper, but a recipient can be assured that the message has not been altered from what the sender transmitted. In this instance, the sender signs the message using their own private key. The receiver uses the sender's public key to verify the signature; the public key is taken from the receiver's keyring based on the sender's e-mail address. Note that the signature process does not work unless the sender's public key is on the receiver's keyring.


    -----BEGIN PGP MESSAGE-----
    Version: PGP for Personal Privacy 5.0
    MessageID: DAdVB3wzpBr3YRunZwYvhK5gBKBXOb/m
    
    qANQR1DBwU4D/TlT68XXuiUQCADfj2o4b4aFYBcWumA7hR1Wvz9rbv2BR6WbEUsy
    ZBIEFtjyqCd96qF38sp9IQiJIKlNaZfx2GLRWikPZwchUXxB+AA5+lqsG/ELBvRa
    c9XefaYpbbAZ6z6LkOQ+eE0XASe7aEEPfdxvZZT37dVyiyxuBBRYNLN8Bphdr2zv
    z/9Ak4/OLnLiJRk05/2UNE5Z0a+3lcvITMmfGajvRhkXqocavPOKiin3hv7+Vx88
    uLLem2/fQHZhGcQvkqZVqXx8SmNw5gzuvwjV1WHj9muDGBY0MkjiZIRI7azWnoU9
    3KCnmpR60VO4rDRAS5uGl9fioSvze+q8XqxubaNsgdKkoD+tB/4u4c4tznLfw1L2
    YBS+dzFDw5desMFSo7JkecAS4NB9jAu9K+f7PTAsesCBNETDd49BTOFFTWWavAfE
    gLYcPrcn4s3EriUgvL3OzPR4P1chNu6sa3ZJkTBbriDoA3VpnqG3hxqfNyOlqAka
    mJJuQ53Ob9ThaFH8YcE/VqUFdw+bQtrAJ6NpjIxi/x0FfOInhC/bBw7pDLXBFNaX
    HdlLQRPQdrmnWskKznOSarxq4GjpRTQo4hpCRJJ5aU7tZO9HPTZXFG6iRIT0wa47
    AR5nvkEKoIAjW5HaDKiJriuWLdtN4OXecWvxFsjR32ebz76U8aLpAK87GZEyTzBx
    dV+lH0hwyT/y1cZQ/E5USePP4oKWF4uqquPee1OPeFMBo4CvuGyhZXD/18Ft/53Y
    WIebvdiCqsOoabK3jEfdGExce63zDI0=
    =MpRf
    -----END PGP MESSAGE-----
    

    FIGURE 8: A PGP encrypted message. The receiver's e-mail address is the pointer to the public key in the sender's keyring. At the destination side, the receiver uses their own private key.


    Figure 8 shows a PGP encrypted message (PGP compresses the file, where practical, prior to encryption because encrypted files lose their randomness and, therefore, cannot be compressed). In this case, public key methods are used to exchange the session key for the actual message encryption using secret-key cryptography. In this case, the receiver's e-mail address is the pointer to the public key in the sender's keyring; in fact, the same message can be sent to multiple recipients and the message will not be significantly longer since all that needs to be added is the session key encrypted by each receiver's private key. When the message is received, the recipient must use their private key to extract the session secret key to successfully decrypt the message (Figure 9).


     Hi Gary,
    
     "Outside of a dog, a book is man's best friend.
     Inside of a dog, it's too dark to read."
    
     Carol
    

    FIGURE 9: The decrypted message.


    It is worth noting that PGP was one of the first so-called "hybrid cryptosystems" that combined aspects of SKC and PKC. When Zimmermann was first designing PGP in the late-1980s, he wanted to use RSA to encrypt the entire message. The PCs of the days, however, suffered significant performance degradation when executing RSA so he hit upon the idea of using SKC to encrypt the message and PKC to encrypt the SKC key.

    The state of PGP is in flux as of the fall of 2002. Zimmermann sold PGP to Network Associates, Inc. (NAI) in 1997 and himself resigned from NAI in early 2001. In March 2002, NAI announced that they were dropping support for the commercial version of PGP having failed to find a buyer for the product willing to pay what NAI wanted. In August 2002, PGP was purchased from NAI by PGP Corp. (http://www.pgp.com/).


    5.6. IP Security (IPsec) Protocol

    NOTE: The information in this section assumes that the reader is familiar with the Internet Protocol (IP), at least to the extent of the packet format and header contents. More information about IP can be found in An Overview of TCP/IP Protocols and the Internet. More information about IPv6 can be found in IPv6: The Next Generation Internet Protocol.

    The Internet and the TCP/IP protocol suite were not built with security in mind. This statement is not meant as a criticism; the baseline UDP, TCP, IP, and ICMP protocols were written in 1980 and built for the relatively closed ARPANET community. TCP/IP wasn't designed for the commercial-grade financial transactions that they now see nor for virtual private networks (VPNs) on the Internet. To bring TCP/IP up to today's security necessities, the Internet Engineering Task Force (IETF) formed the IP Security Protocol Working Group which, in turn, developed the IP Security (IPsec) protocol. IPsec is not a single protocol, in fact, but a suite of protocols providing a mechanism to provide data integrity, authentication, privacy, and nonrepudiation for the classic Internet Protocol (IP). Although intended primarily for IP version 6 (IPv6), IPsec can also be employed by the current version of IP, namely IP version 4 (IPv4).

    As shown in Table 3, IPsec is described in nearly a dozen RFCs. RFC 2401, in particular, describes the overall IP security architecture and RFC 2411 provides an overview of the IPsec protocol suite and the documents describing it.

    IPsec can provide either message authentication and/or encryption. The latter requires more processing than the former, but will probably end up being the preferred usage for applications such as VPNs and secure electronic commerce.

    Central to IPsec is the concept of a security association (SA). Authentication and confidentiality using AH or ESP use SAs and a primary role of IPsec key exchange it to establish and maintain SAs. An SA is a simplex (one-way or unidirectional) logical connection between two communicating IP endpoints that provides security services to the traffic carried by it using either AH or ESP procedures. The endpoint of an SA can be an IP host or IP security gateway (e.g., a proxy server, VPN server, etc.). Providing security to the more typical scenario of two-way (bi-directional) communication between two endpoints requires the establishment of two SAs (one in each direction).

    An SA is uniquely identified by a 3-tuple composed of:

    The IP Authentication Header (AH), described in RFC 2402, provides a mechanism for data integrity and data origin authentication for IP packets using HMAC with MD5 (RFC 2403), HMAC with SHA-1 (RFC 2404), or HMAC with RIPEMD (RFC 2857).


        0                   1                   2                   3
        0 1 2 3 4 5 6 7 8 9 0 1 2 3 4 5 6 7 8 9 0 1 2 3 4 5 6 7 8 9 0 1
       +-+-+-+-+-+-+-+-+-+-+-+-+-+-+-+-+-+-+-+-+-+-+-+-+-+-+-+-+-+-+-+-+
       | Next Header   |  Payload Len  |          RESERVED             |
       +-+-+-+-+-+-+-+-+-+-+-+-+-+-+-+-+-+-+-+-+-+-+-+-+-+-+-+-+-+-+-+-+
       |                 Security Parameters Index (SPI)               |
       +-+-+-+-+-+-+-+-+-+-+-+-+-+-+-+-+-+-+-+-+-+-+-+-+-+-+-+-+-+-+-+-+
       |                    Sequence Number Field                      |
       +-+-+-+-+-+-+-+-+-+-+-+-+-+-+-+-+-+-+-+-+-+-+-+-+-+-+-+-+-+-+-+-+
       |                                                               |
       +                Authentication Data (variable)                 |
       |                                                               |
       +-+-+-+-+-+-+-+-+-+-+-+-+-+-+-+-+-+-+-+-+-+-+-+-+-+-+-+-+-+-+-+-+
    

    FIGURE 10: IPsec Authentication Header format. (From RFC 2402)



    Figure 10 shows the format of the IPsec AH. The AH is merely an additional header in a packet, more or less representing another protocol layer above IP (this is shown in Figure 12 below). Use of the IP AH is indicated by placing the value 51 (0x33) in the IPv4 Protocol or IPv6 Next Header field in the IP packet header. The AH follows mandatory IPv4/IPv6 header fields and precedes higher layer protocol (e.g., TCP, UDP) information. The contents of the AH are:

    The IP Encapsulating Security Payload (ESP), described in RFC 2406, provides message integrity and privacy mechanisms in addition to authentication. As in AH, ESP uses HMAC with MD5, SHA-1, or RIPEMD authentication (RFC 2403/RFC 2404/RFC 2857); privacy is provided using DES-CBC encryption (RFC 2405), NULL encryption (RFC 2410), other CBC-mode algorithms (RFC 2451), or AES (RFC 3686).


        0                   1                   2                   3
        0 1 2 3 4 5 6 7 8 9 0 1 2 3 4 5 6 7 8 9 0 1 2 3 4 5 6 7 8 9 0 1
       +-+-+-+-+-+-+-+-+-+-+-+-+-+-+-+-+-+-+-+-+-+-+-+-+-+-+-+-+-+-+-+-+
       |               Security Parameters Index (SPI)                 |
       +-+-+-+-+-+-+-+-+-+-+-+-+-+-+-+-+-+-+-+-+-+-+-+-+-+-+-+-+-+-+-+-+
       |                      Sequence Number                          |
       +-+-+-+-+-+-+-+-+-+-+-+-+-+-+-+-+-+-+-+-+-+-+-+-+-+-+-+-+-+-+-+-+
       |                    Payload Data (variable)                    |
       ~                                                               ~
       |                                                               |
       +               +-+-+-+-+-+-+-+-+-+-+-+-+-+-+-+-+-+-+-+-+-+-+-+-+
       |               |     Padding (0-255 bytes)                     |
       +-+-+-+-+-+-+-+-+               +-+-+-+-+-+-+-+-+-+-+-+-+-+-+-+-+
       |                               |  Pad Length   | Next Header   |
       +-+-+-+-+-+-+-+-+-+-+-+-+-+-+-+-+-+-+-+-+-+-+-+-+-+-+-+-+-+-+-+-+
       |                 Authentication Data (variable)                |
       ~                                                               ~
       |                                                               |
       +-+-+-+-+-+-+-+-+-+-+-+-+-+-+-+-+-+-+-+-+-+-+-+-+-+-+-+-+-+-+-+-+
    

    FIGURE 11: IPsec Encapsulating Security Payload format. (From RFC 2406)



    Figure 11 shows the format of the IPsec ESP information. Use of the IP ESP format is indicated by placing the value 50 (0x32) in the IPv4 Protocol or IPv6 Next Header field in the IP packet header. The ESP header (i.e., SPI and sequence number) follows mandatory IPv4/IPv6 header fields and precedes higher layer protocol (e.g., TCP, UDP) information. The contents of the ESP packet are:

    Two types of SAs are defined in IPsec, regardless of whether AH or ESP is employed. A transport mode SA is a security association between two hosts. Transport mode provides the authentication and/or encryption service to the higher layer protocol. This mode of operation is only supported by IPsec hosts. A tunnel mode SA is a security association applied to an IP tunnel. In this mode, there is an "outer" IP header that specifies the IPsec destination and an "inner" IP header that specifies the destination for the IP packet. This mode of operation is supported by both hosts and security gateways.


        ORIGINAL PACKET BEFORE APPLYING AH
    
                ----------------------------
          IPv4  |orig IP hdr  |     |      |
                |(any options)| TCP | Data |
                ----------------------------
    
                ---------------------------------------
          IPv6  |             | ext hdrs |     |      |
                | orig IP hdr |if present| TCP | Data |
                ---------------------------------------
    
    
        AFTER APPLYING AH (TRANSPORT MODE)
    
                ---------------------------------
          IPv4  |orig IP hdr  |    |     |      |
                |(any options)| AH | TCP | Data |
                ---------------------------------
                |<------- authenticated ------->|
                     except for mutable fields
    
                ------------------------------------------------------------
          IPv6  |             |hop-by-hop, dest*, |    | dest |     |      |
                |orig IP hdr  |routing, fragment. | AH | opt* | TCP | Data |
                ------------------------------------------------------------
                |<---- authenticated except for mutable fields ----------->|
    
                     * = if present, could be before AH, after AH, or both
    
    
        AFTER APPLYING AH (TUNNEL MODE)
    
              ------------------------------------------------
        IPv4  | new IP hdr* |    | orig IP hdr*  |    |      |
              |(any options)| AH | (any options) |TCP | Data |
              ------------------------------------------------
              |<- authenticated except for mutable fields -->|
    
              |           in the new IP hdr                  |
    
              --------------------------------------------------------------
        IPv6  |           | ext hdrs*|    |            | ext hdrs*|   |    |
              |new IP hdr*|if present| AH |orig IP hdr*|if present|TCP|Data|
              --------------------------------------------------------------
              |<-- authenticated except for mutable fields in new IP hdr ->|
    
               * = construction of outer IP hdr/extensions and modification
                   of inner IP hdr/extensions is discussed below.
    

    FIGURE 12: IPsec tunnel and transport modes for AH. (Adapted from RFC 2402)



    Figure 12 show the IPv4 and IPv6 packet formats when using AH in both transport and tunnel modes. Initially, an IPv4 packet contains a normal IPv4 header (which may contain IP options), followed by the higher layer protocol header (e.g., TCP or UDP), followed by the higher layer data itself. An IPv6 packet is similar except that the packet starts with the mandatory IPv6 header followed by any IPv6 extension headers, and then followed by the higher layer data.

    Note that in both transport and tunnel modes, the entire IP packet is covered by the authentication except for the mutable fields. A field is mutable if its value might change during transit in the network; IPv4 mutable fields include the fragment offset, time to live, and checksum fields. Note, in particular, that the address fields are not mutable.



        ORIGINAL PACKET BEFORE APPLYING ESP
    
                ----------------------------
          IPv4  |orig IP hdr  |     |      |
                |(any options)| TCP | Data |
                ----------------------------
    
                ---------------------------------------
          IPv6  |             | ext hdrs |     |      |
                | orig IP hdr |if present| TCP | Data |
                ---------------------------------------
    
    
        AFTER APPLYING ESP (TRANSPORT MODE)
    
                -------------------------------------------------
          IPv4  |orig IP hdr  | ESP |     |      |   ESP   | ESP|
                |(any options)| Hdr | TCP | Data | Trailer |Auth|
                -------------------------------------------------
                                    |<----- encrypted ---->|
                              |<------ authenticated ----->|
    
                ---------------------------------------------------------
          IPv6  | orig |hop-by-hop,dest*,|ESP|dest|   |    | ESP   | ESP|
                |IP hdr|routing,fragment.|hdr|opt*|TCP|Data|Trailer|Auth|
                ---------------------------------------------------------
                                             |<---- encrypted ---->|
                                         |<---- authenticated ---->|
    
                    * = if present, could be before ESP, after ESP, or both
    
    
        AFTER APPLYING ESP (TUNNEL MODE)
    
                -----------------------------------------------------------
          IPv4  | new IP hdr  | ESP | orig IP hdr   |   |    | ESP   | ESP|
                |(any options)| hdr | (any options) |TCP|Data|Trailer|Auth|
    
                -----------------------------------------------------------
                                    |<--------- encrypted ---------->|
                              |<----------- authenticated ---------->|
    
                ------------------------------------------------------------
          IPv6  | new+ |new ext |ESP| orig+|orig ext |   |    | ESP   | ESP|
                |IP hdr| hdrs+  |hdr|IP hdr| hdrs+   |TCP|Data|Trailer|Auth|
                ------------------------------------------------------------
                                    |<--------- encrypted ----------->|
                                |<---------- authenticated ---------->|
    
                   + = if present
    

    FIGURE 13: IPsec tunnel and transport modes for ESP. (Adapted from RFC 2406)



    Figure 13 shows the IPv4 and IPv6 packet formats when using ESP in both transport and tunnel modes.

    Note a significant difference in the scope of ESP and AH. AH authenticates the entire packet transmitted on the network whereas ESP only covers a portion of the packet transmitted on the network (the higher layer data in transport mode and the entire original packet in tunnel mode). The reason for this is straight-forward; in AH, the authentication data for the transmission fits neatly into an additional header whereas ESP creates an entirely new packet which is the one encrypted and/or authenticated. But the ramifications are significant. ESP transport mode as well as AH in both modes protect the IP address fields of the original transmissions. Thus, using IPsec in conjunction with network address translation (NAT) might be problematic because NAT changes the values of these fields after IPsec processing.

    The third component of IPsec is the establishment of security associations and key management. These tasks can be accomplished in one of two ways.

    The simplest form of SA and key management is manual management. In this method, a security administer or other individual manually configures each system with the key and SA management data necessary for secure communication with other systems. Manual techniques are practical for small, reasonably static environments but they do not scale well.

    For successful deployment of IPsec, however, a scalable, automated SA/key management scheme is necessary. Several protocols have defined for these functions:

    On a final note, IPsec authentication for both AH and ESP uses a scheme called HMAC, a keyed-hashing message authentication code described in FIPS 198 and RFC 2104. HMAC uses a shared secret key between two parties rather than public key methods for message authentication. The generic HMAC procedure can be used with just about any hash algorithm, although IPsec specifies support for at least MD5 and SHA-1 because of their widespread use.

    In HMAC, both parties share a secret key. The secret key will be employed with the hash algorithm in a way that provides mutual authentication without transmitting the key on the line. IPsec key management procedures will be used to manage key exchange between the two parties.

    Recall that hash functions operate on a fixed-size block of input at one time; MD5 and SHA-1, for example, work on 64 byte blocks. These functions then generate a fixed-size hash value; MD5 and SHA-1, in particular, produce 16 byte (128 bit) and 20 byte (160 bit) output strings, respectively. For use with HMAC, the secret key (K) should be at least as long as the hash output.

    The following steps provide a simplified, although reasonably accurate, description of how the HMAC scheme would work with a particular plaintext MESSAGE:

    1. Pad K so that it is as long as an input block; call this padded key Kp.
    2. Compute the hash of the padded key followed by the message, i.e., HASH (Kp:MESSAGE).
    3. Transmit MESSAGE and the hash value.
    4. The receiver does the same procedure to pad K to create Kp.
    5. The receiver computes HASH (Kp:MESSAGE).
    6. The receiver compares the computed hash value with the received hash value. If they match, then the sender must know the secret key and the message is authenticated.

    5.7. The SSL "Family" of Secure Transaction Protocols for the World Wide Web

    The Secure Sockets Layer (SSL) protocol was developed by Netscape Communications to provide application-independent secure communication over the Internet for protocols such as the Hypertext Transfer Protocol (HTTP). SSL employs RSA and X.509 certificates during an initial handshake used to authenticate the server (client authentication is optional). The client and server then agree upon an encryption scheme; SSL v2 supports RC2 and RC4 with 40-bit keys, while SSL v3 adds support for DES, RC4 with a 128-bit key, and 3DES with a 168-bit key, all along with either MD5 or SHA-1 message hashes. SSL v3 is the commonly supported version on servers today, although some implementations of SSL v2 will still be found; both are supported by most common browsers (Figure 14).




    FIGURE 14: SSL v3 configuration screen (Netscape Navigator).


    In 1997, SSL v3 was found to be breakable. By this time, the Internet Engineering Task Force (IETF) had already started work on a new, non-proprietary protocol called Transport Layer Security (TLS), described in RFC 2246. TLS extends SSL and supports additional crypto schemes, such as Diffie-Hellman key exchange and DSS digital signatures. TLS is backward compatible with SSL (and, in fact, is recognized as SSL v3.1).


                           CLIENT       SERVER
     (using URL of form https://)       (listening on port 443) 
    
                      ClientHello ---->
    
                                        ServerHello
                                        Certificate*
                                        ServerKeyExchange*
                                        CertificateRequest*
                                  <---- ServerHelloDone
    
                     Certificate*
                ClientKeyExchange
                CertifcateVerify*
               [ChangeCipherSpec]
                         Finished ---->
    
                                        [ChangeCipherSpec]
                                  <---- Finished
    
                 Application Data <---> Application Data
    
    
    
    * Optional or situation-dependent messages;
      not always sent
    
                                         Adapted from RFC 2246
    

    FIGURE 15: SSL/TLS protocol handshake.


    Figure 15 shows the basic TLS (and SSL) message exchanges:

    1. URLs specifying the protocol https:// are directed to HTTP servers secured using SSL/TLS. The client will automatically try to make a TCP connection to the server at port 443. The client initiates the secure connection by sending a ClientHello message containing a Session identifier, highest SSL version number supported by the client, and lists of supported crypto and compression schemes (in preference order).
    2. The server examines the Session ID and if it is still in the server's cache, it will attempt to re-establish a previous session with this client. If the Session ID is not recognized, the server will continue with the handshake to establish a secure session by responding with a ServerHello message. The ServerHello repeats the Session ID, indicates the SSL version to use for this connection (which will be the highest SSL version supported by the server and client), and specifies which encryption method and compression method to be used for this connection.
    3. There are a number of other optional messages that the server might send, including:
      • Certificate, which carries the server's X.509 public key certificate (and, generally, the server's public key). This message will always be sent unless the client and server have already agreed upon some form of anonymous key exchange. (This message is normally sent.)
      • ServerKeyExchange, which will carry a premaster secret when the server's Certificate message does not contain enough data for this purpose; used in some key exchange schemes.
      • CertificateRequest, used to request the client's certificate in those scenarios where client authentication is performed.
      • ServerHelloDone, indicating that the server has completed its portion of the key exchange handshake.
    4. The client now responds with a series of mandatory and optional messages:
      • Certificate, contains the client's public key certificate when it has been requested by the server.
      • ClientKeyExchange, which usually carries the secret key to be used with the secret key crypto scheme.
      • CertificateVerify, used to provide explicit verification of a client's certificate if the server is authenticating the client.
    5. TLS includes the change cipher spec protocol to indicate changes in the encryption method. This protocol contains a single message, ChangeCipherSpec, which is encrypted and compressed using the current (rather than the new) encryption and compression schemes. The ChangeCipherSpec message is sent by both client and server to notify the other station that all following information will employ the newly negotiated cipher spec and keys.
    6. The Finished message is sent after a ChangeCipherSpec message to confirm that the key exchange and authentication processes were successful.
    7. At this point, both client and server can exchange application data using the session encryption and compression schemes.

      Side Note: It would probably be helpful to make some mention of SSL as it is used today. Most of us have used SSL to engage in a secure, private transaction with some vendor. The steps are something like this. During the SSL exchange with the vendor's secure server, the server sends its certificate to our client software. The certificate includes the vendor's public key and a signature from the CA that issued the vendor's certificate. Our browser software is shipped with the major CAs' certificates which contains their public key; in that way we authenticate the server. Note that the server does not use a certificate to authenticate us! Instead, we are generally authenticated when we provide our credit card number; the server checks to see if the card purchase will be authorized by the credit card company and, if so, considers us valid and authenticated! While bidirectional authentication is certainly supported by SSL, this form of asymmetric authentication is more commonly employed today since most users don't have certificates.

      Microsoft's Server Gated Cryptography (SGC) protocol is another extension to SSL/TLS. For several decades, it has been illegal to generally export products from the U.S. that employed secret-key cryptography with keys longer than 40 bits. For that reason, SSL/TLS has an exportable version with weak (40-bit) keys and a domestic (North American) version with strong (128-bit) keys. Within the last several years, however, use of strong SKC has been approved for the worldwide financial community. SGC is an extension to SSL that allows financial institutions using Windows NT servers to employ strong cryptography. Both the client and server must implement SGC and the bank must have a valid SGC certificate. During the initial handshake, the server will indicate support of SGC and supply its SGC certificate; if the client wishes to use SGC and validates the server's SGC certificate, the session can employ 128-bit RC2, 128-bit RC4, 56-bit DES, or 168-bit 3DES. Microsoft supports SGC in the Windows 95/98/NT versions of Internet Explorer 4.0, Internet Information Server (IIS) 4.0, and Money 98.

      As mentioned above, SSL was designed to provide application-independent transaction security for the Internet. Although the discussion above has focused on HTTP over SSL (https/TCP port 443), SSL is also applicable to:

      Protocol   TCP Port Name/Number
      File Transfer Protocol (FTP)   ftps-data/989 & ftps/990
      Internet Message Access Protocol v4 (IMAP4)   imaps/993
      Lightweight Directory Access Protocol (LDAP)   ldaps/636
      Network News Transport Protocol (NNTP)   nntps/563
      Post Office Protocol v3 (POP3)   pop3s/995
      Telnet   telnets/992


      5.8. Elliptic Curve Cryptography

      In general, public-key cryptography systems use hard-to-solve problems as the basis of the algorithm. The most predominant algorithm today for public-key cryptography is RSA, based on the prime factors of very large integers. While RSA can be successfully attacked, the mathematics of the algorithm have not been comprised, per se; instead, computational brute-force has broken the keys. The defense is "simple" — keep the size of the integer to be factored ahead of the computational curve!

      In 1985, Elliptic Curve Cryptography (ECC) was proposed independently by cryptographers Victor Miller (IBM) and Neal Koblitz (University of Washington). ECC is based on the difficulty of solving the Elliptic Curve Discrete Logarithm Problem (ECDLP). Like the prime factorization problem, ECDLP is another "hard" problem that is deceptively simple to state: Given two points, P and Q, on an elliptic curve, find the integer n, if it exists, such that P = nQ.

      Elliptic curves combine number theory and algebraic geometry. These curves can be defined over any field of numbers (i.e., real, integer, complex) although we generally see them used over finite fields for applications in cryptography. An elliptic curve consists of the set of real numbers (x, y) that satisfies the equation:

      y2 = x3 + ax + b

      The set of all of the solutions to the equation forms the elliptic curve. Changing a and b changes the shape of the curve, and small changes in these parameters can result in major changes in the set of (x,y) solutions.




      FIGURE 16: Elliptic curve addition.


      Figure 16 shows the addition of two points on an elliptic curve. Elliptic curves have the interesting property that adding two points on the elliptic curve yields a third point on the curve. Therefore, adding two points, P1 and P2, gets us to point P3, also on the curve. Small changes in P1 or P2 can cause a large change in the position of P3.

      So let's go back to the original problem statement from above. The point Q is calculated as a multiple of the starting point, P, or, Q = nP. An attacker might know P and Q but finding the integer, n, is a difficult problem to solve. Q is the public key, then, and n is the private key.

      RSA has been the mainstay of PKC for over two decades. But ECC is exciting because of their potential to provide similar levels of security compared to RSA but with significantly reduced key sizes. Certicom Corp. (www.certicom.com), one of the major proponents of ECC, suggests the key size relationship between ECC and RSA per the following table:

      TABLE 4. ECC and RSA Key Comparison.
      RSA Key Size Time to Break Key
      (MIPS Years)
      ECC Key Size RSA:ECC Key-Size
      Ratio
      512 104 106 5:1
      768 108 132 6:1
      1,024 1011 160 7:1
      2,048 1020 210 10:1
      21,000 1078 600 35:1


      Since the ECC key sizes are so much shorter than comparable RSA keys, the length of the public key and private key is much shorter in elliptic curve cryptosystems. Presumably, this translates into faster processing, and lower demands on memory and bandwidth. In practice, the final results are not yet in; RSA, Inc. notes that ECC is faster than RSA for signing and decryption, but slower than RSA for signature verification and encryption.

      Nevertheless, ECC is particularly useful in applications where memory, bandwidth, and/or computational power is limited (e.g., a smartcard) and it is in this area that ECC use is expected to grow. A major champion of ECC today is Certicom; readers are urged to see their ECC online tutorial.



      5.9. The Advanced Encryption Standard and Rijndael

      The search for a replacement to DES started in January 1997 when NIST announced that it was looking for an Advanced Encryption Standard. In September of that year, they put out a formal Call for Algorithms and in August 1998 announced that 15 candidate algorithms were being considered (Round 1). In April 1999, NIST announced that the 15 had been whittled down to five finalists (Round 2): MARS (multiplication, addition, rotation and substitution) from IBM; Ronald Rivest's RC6; Rijndael from a Belgian team; Serpent, developed jointly by a team from England, Israel, and Norway; and Twofish, developed by Bruce Schneier. In October 2000, NIST announced their selection: Rijndael.

      The remarkable thing about this entire process has been the openness as well as the international nature of the "competition." NIST has maintained an excellent Web site devoted to keeping the public fully informed, at http://csrc.nist.gov/encryption/aes/. Their Overview of the AES Development Effort has full details of the process, algorithms, and comments so I will not repeat everything here.

      In October 2000, NIST released the Report on the Development of the Advanced Encryption Standard (AES) that compared the five Round 2 algorithms in a number of categories. The table below summarizes the relative scores of the five schemes (1=low, 3=high):

      Algorithm
      Category MARS RC6 Rijndael Serpent Twofish
      General security 3 2 2 3 3
      Implementation of security 1 1 3 3 2
      Software performance 2 2 3 1 1
      Smart card performance 1 1 3 3 2
      Hardware performance 1 2 3 3 2
      Design features 2 1 2 1 3

      With the report came the recommendation that Rijndael be named the AES. In February 2001, NIST released the Draft Federal Information Processing Standard (FIPS) AES Specification for public review and comment. AES contains a subset of Rijndael's capabilities (e.g., AES only supports a 128-bit block size) and uses some slightly different nomenclature and terminology, but to understand one is to understand both. The 90-day comment period ended on May 29, 2001 and the U.S. Department of Commerce officially adopted AES in December 2001, published as FIPS PUB 197.

      AES (Rijndael) Overview

      Rijndael (pronounced as in "rain doll" or "rhine dahl") is a block cipher designed by Joan Daemen and Vincent Rijmen, both cryptographers in Belgium. Rijndael can operate over a variable-length block using variable-length keys; the version 2 specification submitted to NIST describes use of a 128-, 192-, or 256-bit key to encrypt data blocks that are 128, 192, or 256 bits long; note that all nine combinations of key length and block length are possible. The algorithm is written in such a way that block length and/or key length can easily be extended in multiples of 32 bits and it is specifically designed for efficient implementation in hardware or software on a range of processors. The design of Rijndael was strongly influenced by the block cipher called Square, also designed by Daemen and Rijmen.

      Rijndael is an iterated block cipher, meaning that the initial input block and cipher key undergoes multiple rounds of transformation before producing the output. Each intermediate cipher result is called a State.

      For ease of description, the block and cipher key are often represented as an array of columns where each array has 4 rows and each column represents a single byte (8 bits). The number of columns in an array representing the state or cipher key, then, can be calculated as the block or key length divided by 32 (32 bits = 4 bytes). An array representing a State will have Nb columns, where Nb values of 4, 6, and 8 correspond to a 128-, 192-, and 256-bit block, respectively. Similarly, an array representing a Cipher Key will have Nk columns, where Nk values of 4, 6, and 8 correspond to a 128-, 192-, and 256-bit key, respectively. An example of a 128-bit State (Nb=4) and 192-bit Cipher Key (Nk=6) is shown below:

      s0,0 s0,1 s0,2 s0,3
      s1,0 s1,1 s1,2 s1,3
      s2,0 s2,1 s2,2 s2,3
      s3,0 s3,1 s3,2 s3,3
       
      k0,0 k0,1 k0,2 k0,3 k0,4 k0,5
      k1,0 k1,1 k1,2 k1,3 k1,4 k1,5
      k2,0 k2,1 k2,2 k2,3 k2,4 k2,5
      k3,0 k3,1 k3,2 k3,3 k3,4 k3,5

      The number of transformation rounds (Nr) in Rijndael is a function of the block length and key length, and is given by the table below:

      No. of Rounds
      Nr
      Block Size
      128 bits
      Nb = 4
      192 bits
      Nb = 6
      256 bits
      Nb = 8
      Key
      Size
      128 bits
      Nk = 4
      10 12 14
      192 bits
      Nk = 6
      12 12 14
      256 bits
      Nk = 8
      14 14 14

      Now, having said all of this, the AES version of Rijndael does not support all nine combinations of block and key lengths, but only the subset using a 128-bit block size. NIST calls these supported variants AES-128, AES-192, and AES-256 where the number refers to the key size. The Nb, Nk, and Nr values supported in AES are:

      Parameters
      Variant Nb Nk Nr
      AES-128 4 4 10
      AES-192 4 6 12
      AES-256 4 8 14

      The AES/Rijndael cipher itself has three operational stages:

      • AddRound Key transformation
      • Nr-1 Rounds comprising:
        • SubBytes transformation
        • ShiftRows transformation
        • MixColumns transformation
        • AddRoundKey transformation
      • A final Round comprising:
        • SubBytes transformation
        • ShiftRows transformation
        • AddRoundKey transformation

      The paragraphs below will describe the operations mentioned above. The nomenclature used below is taken from the AES specification although references to the Rijndael specification are made for completeness. The arrays s and s' refer to the State before and after a transformation, respectively (NOTE: The Rijndael specification uses the array nomenclature a and b to refer to the before and after States, respectively). The subscripts i and j are used to indicate byte locations within the State (or Cipher Key) array.

      The SubBytes transformation

      The substitute bytes (called ByteSub in Rijndael) transformation operates on each of the State bytes independently and changes the byte value. An S-box, or substitution table, controls the transformation. The characteristics of the S-box transformation as well as a compliant S-box table are provided in the AES specification; as an example, an input State byte value of 107 (0x6b) will be replaced with a 127 (0x7f) in the output State and an input value of 8 (0x08) would be replaced with a 48 (0x30).

      One way to think of the SubBytes transformation is that a given byte in State s is given a new value in State s' according to the S-box. The S-box, then, is a function on a byte in State s so that:

      s'i,j = S-box (si,j)

      The more general depiction of this transformation is shown by:

      s0,0 s0,1 s0,2 s0,3
      s1,0 s1,1 s1,2 s1,3
      s2,0 s2,1 s2,2 s2,3
      s3,0 s3,1 s3,2 s3,3
      ====>
      S-box
      ====>
      s'0,0 s'0,1 s'0,2 s'0,3
      s'1,0 s'1,1 s'1,2 s'1,3
      s'2,0 s'2,1 s'2,2 s'2,3
      s'3,0 s'3,1 s'3,2 s'3,3

      The ShiftRows transformation

      The shift rows (called ShiftRow in Rijndael) transformation cyclically shifts the bytes in the bottom three rows of the State array. According to the more general Rijndael specification, rows 2, 3, and 4 are cyclically left-shifted by C1, C2, and C3 bytes, respectively, per the table below:

      Nb C1 C2 C3
      4 1 2 3
      6 1 2 3
      8 1 3 4

      The current version of AES, of course, only allows a block size of 128 bits (Nb = 4) so that C1=1, C2=2, and C3=3. The diagram below shows the effect of the ShiftRows transformation on State s:

      State s
      s0,0 s0,1 s0,2 s0,3
      s1,0 s1,1 s1,2 s1,3
      s2,0 s2,1 s2,2 s2,3
      s3,0 s3,1 s3,2 s3,3
       
      ----------- no shift -----------> 
      ----> left-shift by C1 (1) ----> 
      ----> left-shift by C2 (2) ----> 
      ----> left-shift by C3 (3) ----> 
      State s'
      s0,0 s0,1 s0,2 s0,3
      s1,1 s1,2 s1,3 s1,0
      s2,2 s2,3 s2,0 s2,1
      s3,3 s3,0 s3,1 s3,2

      The MixColumns transformation

      The mix columns (called MixColumn in Rijndael) transformation uses a mathematical function to transform the values of a given column within a State, acting on the four values at one time as if they represented a four-term polynomial. In essence, if you think of MixColumns as a function, this could be written:

      s'i,c = MixColumns (si,c)

      for 0<=i<=3 for some column, c. The column position doesn't change, merely the values within the column.

      Round Key generation and the AddRoundKey transformation

      The AES Cipher Key can be 128, 192, or 256 bits in length. The Cipher Key is used to derive a different key to be applied to the block during each round of the encryption operation. These keys are called the Round Keys and each will be the same length as the block, i.e., Nb 32-bit words (words will be denoted W).

      The AES specification defines a key schedule by which the original Cipher Key (of length Nk 32-bit words) is used to form an Expanded Key. The Expanded Key size is equal to the block size times the number of encryption rounds plus 1, which will provide Nr+1 different keys. (Note that there are Nr encipherment rounds but Nr+1 AddRoundKey transformations.)

      Consider that AES uses a 128-bit block and either 10, 12, or 14 iterative rounds depending upon key length. With a 128-bit key, for example, we would need 1408 bits of key material (128x11=1408), or an Expanded Key size of 44 32-bit words (44x32=1408). Similarly, a 192-bit key would require 1664 bits of key material (128x13), or 52 32-bit words, while a 256-bit key would require 1920 bits of key material (128x15), or 60 32-bit words. The key expansion mechanism, then, starts with the 128-, 192-, or 256-bit Cipher Key and produces a 1408-, 1664-, or 1920-bit Expanded Key, respectively. The original Cipher Key occupies the first portion of the Expanded Key and is used to produce the remaining new key material.

      The result is an Expanded Key that can be thought of and used as 11, 13, or 15 separate keys, each used for one AddRoundKey operation. These, then, are the Round Keys. The diagram below shows an example using a 192-bit Cipher Key (Nk=6), shown in magenta italics:

      Expanded Key: W0 W1 W2 W3 W4 W5 W6 W7 W8 W9 W10 W11 W12 W13 W14 W15 ... W44 W45 W46 W47 W48 W49 W50 W51
      Round keys: Round key 0 Round key 1 Round key 2 Round key 3 ... Round key 11 Round key 12

      The AddRoundKey (called Round Key addition in Rijndael) transformation merely applies each Round Key, in turn, to the State by a simple bit-wise exclusive OR operation. Recall that each Round Key is the same length as the block.

      Summary

      Ok, I hope that you've enjoyed reading this as much as I've enjoyed writing it — and now let me guide you out of the microdetail! Recall from the beginning of the AES overview that the cipher itself comprises a number of rounds of just a few functions:

      • SubBytes takes the value of a word within a State and substitutes it with another value by a predefined S-box
      • ShiftRows circularly shifts each row in the State by some number of predefined bytes
      • MixColumns takes the value of a 4-word column within the State and changes the four values using a predefined mathematical function
      • AddRoundKey XORs a key that is the same length as the block, using an Expanded Key derived from the original Cipher Key

      Cipher (byte in[4*Nb], byte out[4*Nb], word w[Nb*(Nr+1)])
      begin
        byte state[4,Nb]
      
        state = in
      
        AddRoundKey(state, w)
      
        for round = 1 step 1 to Nr-1
          SubBytes(state)
          ShiftRows(state)
          MixColumns(state)
          AddRoundKey(state, w+round*Nb)
        end for
      
        SubBytes(state)
        ShiftRows(state)
        AddRoundKey(state, w+Nr*Nb)
      
        out = state
      end
      


      FIGURE 17: AES pseudocode.


      As a last and final demonstration of the operation of AES, Figure 17 is a pseudocode listing for the operation of the AES cipher. In the code:

      • in[] and out[] are 16-byte arrays with the plaintext and cipher text, respectively. (According to the specification, both of these arrays are actually 4*Nb bytes in length but Nb=4 in AES.)
      • state[] is a 2-dimensional array containing bytes in 4 rows and 4 columns. (According to the specification, this arrays is 4 rows by Nb columns.)
      • w[] is an array containing the key material and is 4*(Nr+1) words in length. (Again, according to the specification, the multiplier is actually Nb.)
      • AddRoundKey(), SubBytes(), ShiftRows(), and MixColumns() are functions representing the individual transformations.

      5.10. Cisco's Stream Cipher

      Stream ciphers take advantage of the fact that:

      x XOR y XOR y = x

      One of the encryption schemes employed by Cisco routers to encrypt passwords is a stream cipher. It uses the following fixed keystream (thanks also to Jason Fossen for independently extending and confirming this string):

      dsfd;kfoA,.iyewrkldJKDHSUBsgvca69834ncx

      When a password is to be encrypted, the password function chooses a number between 0 and 15, and that becomes the offset into the keystream. Password characters are then XORed byte-by-byte with the keystream according to:

      Ci = Pi XOR K(offset+i)

      where K is the keystream, P is the plaintext password, and C is the ciphertext password.

      Consider the following example. Suppose we have the password abcdefgh. Converting the ASCII characters yields the hex string 0x6162636465666768.

      The keystream characters and hex code that supports an offset from 0 to 15 bytes and a password length up to 24 bytes is:

        d s f d ; k f o A , . i y e w r k l d J K D H S U B s g v c a 6 9 8 3 4 n c x
      0x647366643b6b666f412c2e69796577726b6c644a4b4448535542736776636136393833346e6378

      Let's say that the function decides upon a keystream offset of 6 bytes. We then start with byte 6 of the keystream (start counting the offset at 0) and XOR with the password:

          0x666f412c2e697965
      XOR 0x6162636465666768
          ------------------
          0x070D22484B0F1E0D

      The password would now be displayed in the router configuration as:

      password 7 06070D22484B0F1E0D

      where the "7" indicates the encryption type, the leading "06" indicates the offset into the keystream, and the remaining bytes are the encrypted password characters. (Decryption is pretty trivial so that exercise is left to the reader. If you need some help with byte-wise XORing, see http://www.garykessler.net/library/byte_logic_table.html.)



      6. CONCLUSION... OF SORTS

      This paper has briefly described how cryptography works. The reader must beware, however, that there are a number of ways to attack every one of these systems; cryptanalysis and attacks on cryptosystems, however, are well beyond the scope of this paper. In the words of Sherlock Holmes (ok, Arthur Conan Doyle, really), "What one man can invent, another can discover" ("The Adventure of the Dancing Men").

      Cryptography is a particularly interesting field because of the amount of work that is, by necessity, done in secret. The irony is that today, secrecy is not the key to the goodness of a cryptographic algorithm. Regardless of the mathematical theory behind an algorithm, the best algorithms are those that are well-known and well-documented because they are also well-tested and well-studied! In fact, time is the only true test of good cryptography; any cryptographic scheme that stays in use year after year is most likely a good one. The strength of cryptography lies in the choice (and management) of the keys; longer keys will resist attack better than shorter keys.

      The corollary to this is that consumers should run, not walk, away from any product that uses a proprietary cryptography scheme, ostensibly because the algorithm's secrecy is an advantage. This observation about not using "secret" crypto schemes has been a fundamental hallmark of cryptography for well over 100 years; it was first stated explicitly by Dutch linguist Auguste Kerckhoffs von Nieuwenhoff in his 1883 (yes, 1883) text titled La Cryptographie militaire, and has therefore become known as "Kerckhoffs' Principle."


      7. REFERENCES AND FURTHER READING

      And for a purely enjoyable fiction book that combines cryptography and history, check out Neal Stephenson's Crytonomicon (published May 1999). You will also find in it a new secure crypto scheme based upon an ordinary deck of cards (ok, you need the jokers...) called the Solitaire Encryption Algorithm, developed by Bruce Schneier.

      Finally, I am not in the clothing business although I do have an impressive t-shirt collection (over 350 and counting!). If you want to proudly wear the DES (well, actually the IDEA) encryption algorithm, be sure to see 2600 Magazine's DES Encryption Shirt, found at http://store.yahoo.com/2600hacker/desenshir.html (left). A t-shirt with Adam Back's RSA Perl code can be found at http://www.cypherspace.org/~adam/uk-shirt.html (right).


      APPENDIX. SOME MATH NOTES

      A number of readers over time have asked for some rudimentary background on a few of the less well-known mathematical functions mentioned in this paper. Although this is purposely not a mathematical treatise, some of the math functions mentioned here are essential to grasping how modern crypto functions work. To that end, some of the mathematical functions mentioned in this paper are defined in greater detail below.

      A.1. The Exclusive-OR (XOR) Function

      Exclusive OR (XOR) is one of the fundamental mathematical operations used in cryptography (and many other applications). George Boole, a mathematician in the late 1800s, invented a new form of "algebra" that provides the basis for building electronic computers and microprocessor chips. Boole defined a bunch of primitive logical operations where there are one or two inputs and a single output depending upon the operation; the input and output are either TRUE or FALSE. The most elemental Boolean operations are:

      • NOT: The output value is the inverse of the input value (i.e., the output is TRUE if the input is false, FALSE if the input is true)
      • AND: The output is TRUE if all inputs are true, otherwise FALSE. (E.g., "the sky is blue AND the world is flat" is FALSE while "the sky is blue AND security is a process" is TRUE.)
      • OR: The output is TRUE if either or both inputs are true, otherwise FALSE. (E.g., "the sky is blue OR the world is flat" is TRUE and "the sky is blue OR security is a process" is TRUE.)
      • XOR (Exclusive OR): The output is TRUE if exactly one of the inputs is TRUE, otherwise FALSE. (E.g., "the sky is blue XOR the world is flat" is TRUE while "the sky is blue XOR security is a process" is FALSE.)

      I'll only discuss XOR for now and demonstrate its function by the use of a so-called truth tables. In computers, Boolean logic is implemented in logic gates; for design purposes, XOR has two inputs and a single output, and its logic diagram looks like this:

      XOR 0 1
      0 0 1
      1 1 0

      So, in an XOR operation, the output will be a 1 if one input is a 1; otherwise, the output is 0. The real significance of this is to look at the "identity properties" of XOR. In particular, any value XORed with itself is 0 and any value XORed with 0 is just itself. Why does this matter? Well, if I take my plaintext and XOR it with a key, I get a jumble of bits. If I then take that jumble and XOR it with the same key, I return to the original plaintext.

      NOTE: Boolean truth tables usually show the inputs and output as a single bit because they are based on single bit inputs, namely, TRUE and FALSE. In addition, we tend to apply Boolean operations bit-by-bit. For convenience, I have created Boolean logic tables when operating on bytes.

      A.2. The modulo Function

      The modulo function is, simply, the remainder function. It is commonly used in programming and is critical to the operation of any mathematical function using digital computers.

      To calculate X modulo Y (usually written X mod Y), you merely determine the remainder after removing all multiples of Y from X. Clearly, the value X mod Y will be in the range from 0 to Y-1.

      Some examples should clear up any remaining confusion:

      • 15 mod 7 = 1
      • 25 mod 5 = 0
      • 33 mod 12 = 9
      • 203 mod 256 = 203

      Modulo arithmetic is useful in crypto because it allows us to set the size of an operation and be sure that we will never get numbers that are too large. This is an important consideration when using digital computers.


      ABOUT THE AUTHOR

      Gary Kessler is an Associate Professor at Champlain College in Burlington, VT, where he is the director of the Computer Networking and Computer & Digital Forensics programs. He is also the president and janitor of Gary Kessler Associates, an independent consulting and training firm specializing in computer and network security, computer forensics, Internet access issues, and TCP/IP networking. He has written over 60 papers for industry publications, is co-author of ISDN, 4th. edition (McGraw-Hill, 1998), and is a contributor to Information Security Magazine. Gary's e-mail address is kumquat@sover.net and his PGP public key can be found at http://www.garykessler.net/kumquat_pubkey.html or on MIT's PGP keyserver. Some of Gary's other crypto pointers of interest on the Web can be found at his Security-related URLs list.